While we usually focus on the stability of electrical grids, the mechanical resilience of our legs took center stage on Thursday, May 7th. The institute's team competed in the Graz Business Run – only to find that Styrian meteorology had scheduled an unplanned simulation of extreme conditions for the day. Instead of a leisurely jog in the sunshine, we got the full experience: rain, gale-force winds, and a sudden bout of hail. However, no one was deterred, and all colleagues finished with excellent times.
This year’s Protection and Control Technology tutorial in Leipzig was dedicated entirely to the systems of the future. A particular focus was placed on the interaction between conventional protection systems and inverter-based resources - a key research area at the IEAN.
We are delighted to have actively contributed to SLT 2026 with three distinct presentations:
A big thank you to the organizers and all participants for the excellent discussions and the valuable exchange of knowledge.
On 22 April 2026, the Green Tech Radar on the topic of ‘Infrastructure of the Future – Integrated Power Grids’ was presented at the IEAN. The brochure was produced at the IEAN and is published by the Green Tech Valley initiative. Representatives from a wide range of member companies from the initiative attended the presentation and learnt about innovations in the electricity grid across all voltage levels. The event concluded with a tour of the institute’s laboratories and the Nikola Tesla High-Voltage Laboratory.
Pictures: B. Hasewend, M. Simbürger
Traditionally, the Long Night of Research drew large crowds to Graz University of Technology. With their presentation “Electrifying moments in the bathroom” – already considered a classic – Daniel Herbst and Martin Fürnschuß demonstrated what happens when a hair dryer falls into the bathtub, or rather, what shouldn’t happen. Their demonstration thrilled a wide audience of all ages and illustrated how electrical protective measures actually work.
From April 12–13, the Working Group on “Inductive load switching in transmission and distribution systems” met in Berlin for its first in-person working meeting. The objective is to develop a technical brochure on the challenging switching operations of shunt reactors, unloaded transformers, and motors in distribution and transmission networks. Various switching technologies (e.g., SF₆-free solutions) will be analyzed, and a guideline for proper design as well as support for relevant standards will be provided.
A broad range of experts from industry and academia are involved in this effort, including manufacturers of switching devices and reactors, network operators, power plant developers, engineering consultancies, and universities. IEAN is also contributing its expertise through Prof. Robert Schürhuber and Philipp Hackl, particularly by providing various application cases, accurate simulations, and experience from field tests.
As part of our research collaboration with Verbund AG, Paul Kury - together with Prof. Schürhuber - presented his annual report at the Verbund site in Kaprun. Future research priorities were also discussed with the project partner. After a brief stop at the construction-site-coordination canteen, we headed out for a tour of the Kaprun pumped-storage hydropower plants.
The impressive structures and facilities of this major network node left a lasting impression. Particularly fascinating were the unique, variable-speed generator sets used there, which are also the focus of the dissertation and therefore perfectly concluded the excursion.
At this point, we would like to express our gratitude to everyone involved for the excellent organisation and for allowing us to tour these impressive, state-of-the-art facilities.
We congratulate Dr Daniel Fank-Habe on successfully passing his rigorous examination on 2 March 2026 for his thesis entitled ‘Damping of Electromechanical Oscillations by Enhanced Hydropower Plant Control Strategies’!
Damping of Electromechanical Oscillations by Enhanced Hydropower Plant Control Strategies
As part of the VITREOUSGRID project, Wendelin Angermann had the opportunity to present the first research results of the project. The project is funded by the FFG and carried out in cooperation with six distribution system operators – TINETZ, Salzburg Netz, Energienetze Steiermark, Netz Oberösterreich, Kärnten Netz, and Wiener Netze. The project aims to address key challenges of modern medium-voltage distribution grids.
The presented results are based on a power-based approach for grid state estimation, specifically developed for radial medium-voltage grids. In the conducted studies, the approach achieves a convergence rate of 100% without compromising the estimation accuracy compared to established methods.
Many thanks to the organizers of EnInnov 2026 (Institute of Electricity Economics and Energy Innovation) for the opportunity to present these results and for the valuable professional exchange. We are particularly pleased to receive the Young Author Award.
Jutta Hanson (TU Darmstadt) and Robert Schürhuber (TU Graz) are highly regarded experts in working groups on short-circuit calculations, based on their professional and subsequent academic careers. Both are involved in the development of international standards and are particularly committed to improving the integration of converter-based generation units into these standards.
For this purpose, a delegation from TU Darmstadt visited IEAN from January 22 to 23, where current research results and challenges in short-circuit calculations involving current-limited converters were discussed. Another focus was the detailed investigation of the short-circuit peak current of the doubly fed induction machine. As a result of this exchange, joint publications and collaborations are planned.
In the evening hours of January 19, an exceptionally fast solar storm reached Earth and caused the highest neutral-point currents ever measured in Austria, with a DC amplitude of 27.3 A. In addition, auroras could be observed at several locations across the country, as impressively documented by a webcam image from the Kleinfleißkees.
Assistant Professor Ziqian Zhang was invited to attend and present at the joint meetings of IEC SC8A JWG4 "Verification and assessment methodologies for grid connection of renewable energy power plants" and IEC SC8A WG8 "Modeling of renewable energy generation for power system dynamic analysis," held January 13-15, 2026, in the Netherlands.
Dr. Zhang delivered a highly regarded technical presentation titled "The Influence and Mechanism of Low Voltage Ride-Through Testing Equipment on Test Results." The address provided a comprehensive analysis from both phenomenological and mechanistic perspectives, elucidating how testing apparatus and methodologies can significantly impact inverter performance evaluation outcomes. The presentation sparked substantive discussion among attending experts and received explicit recognition from specialists representing multiple national delegations.
IEC SC8A is a strategic technical committee within the International Electrotechnical Commission focused on standardization for grid integration of renewable energy power generation, addressing critical challenges in power system stability and interoperability.
As a follow-up to the e-controls workshop in Manaus, there was an opportunity for scientific exchange on 5 December 2025 at the Universidade Federal do Rio de Janeiro (UFRJ) in Brazil. Presentations were given on various current research topics as well as possible future collaborations. The focus was on the topic of electromobility and the related charging infrastructure for electric vehicles, which is still only moderately developed in Brazil. It was also very exciting to get to know the university and laboratory infrastructure, with one very special highlight: a self-developed magnetic levitation train with a test track on campus up to TRL 8, which is expected to go into operation next year. Many thanks to our colleagues at UFRJ for their commitment to our exchange and their warm hospitality. We look forward to future collaborations and a possible return invitation.
Daniel Herbst
As part of the international research project IRI4SGC, Prof. Robert Schürhuber and Daniel Herbst had the opportunity to participate in the international workshop of the e-controls research group at the Universidade Federal do Amazonas (UFAM) in Manaus, Brazil, from 30 November to 4 December 2025. During the three-day event, details of various international research projects were discussed, as well as recent challenges in different areas of electrical engineering. We would like to take this opportunity to thank our colleagues at UFAM for their excellent organisation and warm hospitality. We look forward to further academic exchange in the form of joint lectures and collaborative research projects!
Daniel Herbst
The Institute for Electrical Power Systems (IEAN) is intensively focusing on the effects of the energy transition on the operation of electrical power systems. In this context, the exploratory project pro.tect (01/2025 to 01/2026), funded by the Österreichische Forschungsförderungsgesellschaft (FFG), is investigating the influence of state-of-the-art operating equipment – such as converters and Flexible AC Transmission Systems (FACTS) – on conventional power system protection.
A stakeholder workshop on this topic took place at the IEAN on November 26, 2025. The project team presented initial research results, discussed them with protection technology experts from industry and practice, and jointly identified relevant questions and boundary conditions for further investigations.
The IEAN would like to sincerely thank all participants for the exciting workshop, the constructive exchange, and the technical input from practice!
We would like to congratulate our colleague Daniel Herbst on his new position at OVE and wish him every success and satisfaction in his new role.
On September 29, 2025, we had the pleasure of holding our consortium meeting of the VITREOUSGRID research project at Netz Oberösterreich GmbH in Linz. Together with our partners – TINETZ, Salzburg Netz, Energienetze Steiermark, Netz Oberösterreich, Kärnten Netz, and Wiener Netze – we discussed current project results and the next steps toward intelligent state estimation in distribution grids.
The focus was on the evaluation of modern estimation methods and the development of digital twins of real grids – key components for the sustainable integration of renewable energy sources.
A big thank-you to Netz Oberösterreich GmbH for the warm hospitality and inspiring discussions!
Together, we are shaping the energy future – data-driven, innovative, and connected.
From October 15 to 16, 2025, around 300 experts from industry and academia met in the so-called ‘living room of power engineering’ – at the OVE Power Engineering Conference 2025 (de. OVE-Energietechnik-Tagung) in the Stadtsaal Kufstein in Tyrol. The IEAN was represented by a large delegation and a wide variety of contributions in the form of talks and poster presentations. Particularly outstanding were the talks by our two colleagues Maximilian Brestan and Stefan Leherbauer on their master's theses, which were awarded with the OVE Energy Technology Prize and the Prof. Werner Rieder Prize during the conference. We would like to congratulate both awardees most warmly! Furthermore, our gratitude goes to the entire OVE organisation team for a highly successful event with consistently exciting talks, an accompanying technical exhibition and an inspiring social event at Kufstein Fortress. We are already looking forward to the 63rd OVE Power Engineering Conference in Vienna in 2026.
Daniel Herbst
The Institute was once again represented at this year's 24th Wind & Solar Integration Workshop. The conference is considered one of the international platforms for the exchange of current research results and practical experience in the field of integrating renewable energies into electrical grids.
Institute Director Prof. Robert Schürhuber, Ass. Prof. Ziqian Zhang and Dipl.-Ing. Gregor Schöpf presented the latest research results on key issues of grid integration and system stability:
Participation also provided a valuable opportunity for professional exchange and networking for future collaborations, including at the international level.
As an alternative to our everyday university research activities, our institute regularly organises team-building trips – on September 30, 2025, we took a day trip by train to Czech Republic. In addition to a truly exciting and entertaining guided tour with Pavla through the historic old town of Brno, we visited the VIDA! Science Centre. This is an interactive, permanent science exhibition on the topics of climate, space, physics and much more, where you can try out countless hands-on experiments for yourself. We ended our day with Czech beer and a delicious dinner.
Daniel Herbst
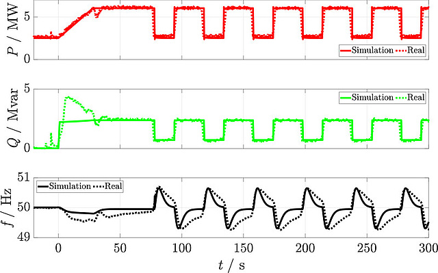
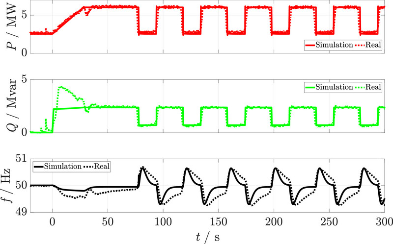
Fast restoration of the power supply after a grid failure is crucial for a reliable energy system. In a recent study, Dipl.-Ing. Darko Brankovic investigates the ramp-up of a 400 MW combined cycle power plant, supported by four hydropower generators (100 MW) and three pumps (23 MVA), in a 110-kV island grid in Upper Austria.
The aim was to test the feasibility of the ramp-up process and to develop a simulation model, which was validated using measurement data from real-world field tests. Key findings include:
The study highlights the importance of testing restoration strategies to ensure stable island operation during blackouts and to verify simulation models. In addition, it analyzes the influence of using standard parameters and the impact of limited knowledge of turbine controller settings on simulation results.
Publication: IET Generation, Transmission & Distribution
DOI: https://doi.org/10.1049/gtd2.70115
In August 2025, three members of our institute – Wendelin Angermann, Alexander Fröhlich, and Dominik Grall – traveled to China to participate in an academic exchange with local universities. The aim of the visit was to deepen cooperation in the fields of rail transport and electrical energy systems and to further strengthen scientific exchange.
The delegation visited Tongji University and Dianji University in Shanghai, as well as Hefei University of Technology.
In addition, the group gained valuable insights during laboratory tours, including visits to the Maglev Laboratory at Tongji University, the Real-Time Simulation Laboratory at Dianji University, and the joint research centers of Hefei University of Technology with the Energy Research Institute of the Hefei Comprehensive National Science Center. These impressions facilitated an intensive exchange on current research work in the fields of rail transport and electrical energy systems.
On 4 September 2025, Prof. Schürhuber and Prof. Renner took the opportunity to tour the Mochovce Nuclear Power Plant in Slovakia, where they were able to take a closer look at the secondary circuit and the control technology in particular. This gave them some interesting insights into this technology.
This year, our colleague Darko Brankovic was awarded the third prize of the Phd best paper award at the EFTS, organised by EUREL - Convention of Electrical, Electronic & Information Technology Engineers of Europe. The journal paper published in Institution of Engineering and Technology (IET) with the title "Short-circuit current of a hydropower plant with consideration of constant switching and fault arc voltages" was honoured.
At the PHILlab (Power Hardware-in-the-Loop Laboratory) of the Institute of Electrical Power Systems at TU Graz, we dedicate ourselves to cutting-edge research and innovative testing methods in the field of power systems and inverter technologies. Recently, we had the pleasure of welcoming the renowned tech blogger Techmagnet (https://www.youtube.com/@techmagnetde) to jointly explore our latest advancements in transient stability testing of residential inverters under grid fault conditions.
Long video: https://www.youtube.com/watch?v=gnE-ZANXCl4
Short video: https://www.youtube.com/shorts/ZORQMbSCNBE
Through video demonstrations, we highlighted the critical differences between traditional test methods and the advanced PHIL testing approach, showcasing the dynamic performance of various inverters under realistic grid fault scenarios. Compared to traditional methods, PHIL testing uniquely replicates authentic grid faults, preventing overly optimistic evaluations of inverter performance, thereby revealing the devices' true responses under extreme conditions. These tests provide essential insights into the reliability and robustness of equipment for engineers and industry professionals. For further information about the PHIL methodology, please refer to: https://www.tugraz.at/en/institute/iean/infrastructure/laboratory-equipment#c374508
We are delighted to welcome Paul Kury to the IEAN team! As part of a collaboration with Verbund AG, he will be working on the grid integration of variable-speed pumped storage power plants. In this project, we will be developing innovative solutions for the efficient integration of these power plants into the electricity grid. Welcome Paul, we look forward to working with you!
Once again this year, IEAN traditionally celebrated the end of the semester at Lucky's Heuriger.



On 25.6.2025 the annual meeting of the TSK H7 group of the OVE (short-circuit standardization) led by Prof. Schürhuber took place in Brno. In addition to many interesting technical discussions, the group was also able to visit the laboratories at the Brno University of Technology thanks to Prof. Petr Toman and refresh their theoretical knowledge with practical experiments at the vida! Science Center in Brno!
On June 25, 2025, students of the course Fundamentals of Electrical Energy Systems (GEE) once again had the opportunity to visit the Fragant Power Plant Group operated by Kelag as part of an engaging technical excursion. The visit provided hands-on insights into the generation of electrical energy from hydropower and offered a comprehensive understanding of the structure and operation of complex energy systems.
Stations of the excursion:
The excursion was guided by Sebastian Culetto and Michael Makik from Kelag, who provided the participants with expert explanations and great commitment throughout the visit.
Exchange students from the Northeast Electric Power University and the Hefei University of Technology (China), currently attending TU Graz as part of their academic exchange, also took part in the excursion and gained valuable insights into the Austrian energy infrastructure.
A sincere thank you goes to everyone who contributed to making this informative and memorable day possible.
Have you ever visited a substation? Our interactive 3D tour now gives you the opportunity to explore technical facilities in realistic detail: 3D tour
We regularly receive requests from school classes or other groups to visit us and gain an insight into the exciting world of electrical power engineering. If at all possible, we are always happy to accept these requests so that we can share our passion for all aspects of electrical power systems with anyone who is interested. Recently, we were able to welcome a class from HTL Innsbruck (March 2025), two science classes from Sacre Coeur Graz (May 2025) and two classes from HTL Hollabrunn (June 2025) to our institute. In total, we were able to show around 100 students our laboratory facilities, including the extensive teaching and research areas of our institute.
We hope that we were able to make a contribution to increasing the attractiveness of the field of electrical power engineering and will continue to do so. And, of course, we would be delighted to see some of the pupils again as students at TU Graz in the future.
Daniel Herbst
In order to keep up with the latest developments in teaching and research, it is particularly important to us to keep our laboratory infrastructure up to date. We are always grateful for support, for example through the provision of various components and equipment. This time, we were able to receive a P30 electric vehicle charging station ("wallbox"). This was delivered by Stefan Richter, CEO of KEBA Energy Automation GmbH himself.
Many thanks at this point to the company KEBA and of course to you, dear Stefan!
Daniel Herbst
At the beginning of June, a delegation from IEAN visited the Siemens Energy switchgear factory in Berlin. During the visit, we gained fascinating insights into the manufacturing process of switchgear—among other things, at the only vacuum tube factory for high-voltage applications. We also had the opportunity to experience the iconic parabolic high-voltage hall and the power testing facilities up close. In addition, we gained a comprehensive understanding of the production of GIS systems and closely followed the development stages of modern switchgear at the on-site training center. The visit concluded with a workshop addressing the challenges of switching operations and future applications of SF₆-free switchgear in extra-high voltage levels.
Can vacuum circuit breakers also be used in the 110-kV high-voltage grid?
Austrian Power Grid (APG), in collaboration with the Institute of Electrical Power Systems (IEAN), conducted intentional short-circuit tests and operational switching to gain first operational experience for the use of vacuum circuit breakers at this voltage level. Thanks to high-frequency measurements, both overvoltages and rarely occurring effects could be recorded in detail. The first results of these investigations were presented at the CIGRE Symposium 2025 in Trondheim, held from May 12 to 14, in front of more than 750 participants.

The Institute of Electrical Power Systems at TU Graz conducted a comprehensive study on the low-voltage ride-through (LVRT) capability and transient stability of four PV inverters in the 10 kW class. The aim was to evaluate their behavior during voltage dips under realistic conditions using Power Hardware-in-the-Loop (PHIL) methods, and to identify the dynamic stability limits.
|
Parameter |
A |
B |
C |
D |
|
Max. PV Input Power |
18 kWp |
15 kWp |
19.2 kWp |
20 kWp |
|
PV Voltage Range |
160–1000 V |
180–960 V |
160–1000 V |
180–950 V |
|
Rated DC Voltage |
600 V |
600 V |
600 V |
640 V |
|
Battery Voltage Range |
600–980 V |
180–800 V |
600–900 V |
180–800 V |
|
Max Charge/Discharge Power |
12/11 kW |
10/10 kW |
n.a.* |
30 A/30 A |
|
Rated AC Power |
10 kW |
10 kW |
12 kW |
10 kW |
|
Rated AC Voltage |
380/400 V |
380/400 V |
380/400 V |
380/400 V |
|
Max Output Current |
16.7 A |
16 A |
20.1 A |
32 A |
*Information not available
Figure 1: Superimposed short-circuit current waveforms of all four inverters (0 ms = fault initiation).
Figure 2: Post-fault current recovery (from 50 ms before to 2000 ms after fault clearing) – the intensity plot shows uniform behavior for A and B, but clear oscillations for C and D.
Figure 3: Comparison between ideal voltage and PHIL – only PHIL reveals both high- and low-frequency oscillations!
These results highlight the importance of integrating PHIL testing into certification processes to avoid overlooking real-world dynamic behaviors and to enable targeted improvements in control algorithms.
The attached photos show that teaching is also fun. As part of the event "Learning for teaching: 5 years of the TU Graz Teaching Academy", the Teaching Expert Certificate, which represents the highest possible module qualification in the TU Graz Teaching Academy, was presented to our employee Darko Brankovic by the Vice-Rector for Teaching Stefan Vorbach.
Darko Brankovic was also able to take part in the panel discussion as a representative of the Teaching Experts of Graz University of Technology and discuss important future issues in the field of teaching.
Teaching is a fundamental part of university activities and a cornerstone of our institute, which is carried out with passion.
Photos by © Teaching and Learning Technologies/ TU Graz
To extend our team, IEAN currently has two vacancies for university project assistants in the following subject areas:
We look forward to receiving your application and will be happy to answer any questions you may have!
After a total of two and a half years, the ProSafE² (Protection, Safety and Efficiency of Electric Vehicle Charging Stations) research project was completed on 31 October 2024. In the course of the final reporting phase (until 31 January 2025), the project results were documented accordingly and can be accessed - in addition to further information - in the form of a public report on the project website as well as in the OVE association magazine e+i issue 1.2025.
In a nutshell, ProSafE² developed a new procedure resp. process, including corresponding test cases, for the periodic verification of DC electric vehicle charging stations (DC-EVCS). On the one hand, this concerns safety-relevant aspects in terms of protection against electric shock resp. protection of human beings, livestock and property, as well as on the other hand, investigations were also carried out in terms of energy efficiency and grid perturbations at DC charging stations. All test cases were evaluated in a total of six laboratory resp. field tests on already installed DC-EVCS using a specially developed and constructed testing device demonstrator.
Key findings from the project were incorporated into the revision of OVE Technical Specification R 30 (‘Safe operation and periodic verificatio of [...] charging equipment for electric vehicles [...]’, published on 1 March 2025), which meant that the current state of research could also be directly transferred to the state-of-the-art.
ProSafE² was funded as a Collective Research project in the FFG ‘Basisprogramm’ and supported by industry partners.
We would like to take this opportunity once again to sincerely thank our project partners OVE, AIT and KS Engineers as well as our branch partners Energienetze Steiermark, KELAG, TÜV Austria and Wien Energie for the excellent and professional co-operation!
Image: Exemplary ProSafE² field test, july 2024, Carinthia/AT

Daniel Herbst
In the past, Baltic countries were already able to exchange electric energy via HVDC systems, connecting to Finland and Poland. On 9.2.2025, 2:00 pm the Baltic grid was successfully synchronized to the Continental Europe transmission system. A day before, the Baltic system was separated from the Russian system and was operated temporaraily in islanded mode.
On 31 January 2025, Prof. Schürhuber had the opportunity to introduce the 4th grade students of the HIB Liebenau grammar school to energy technology. After an introduction to energy and climate protection as part of a physics lesson, they visited a substation in Graz and did some practical work in the Energy Forum, which was enthusiastically received by the pupils!
Reason to celebrate at IEAN - Herwig Renner celebrated his 60th birthday at the end of January 2025.
The staff of the institute would like to congratulate him sincerely!

The OVE Young Engineers Graz host the event series E-Total at the start of each academic year, aiming to give students a deeper insight into a specific focus of electrical engineering. This is done in collaboration with an institute, and this year, the IEAN participated with two internal and two external speakers. The topic was “The Power Grid of the Future”, addressing issues such as grid connection and flexibility of converter-coupled generation, the increased likelihood of system splits, and the challenges of distributed generation for the distribution grid’s operational management. The IEAN thanks the OVE Young Engineers for their organisation, noting that this year's event set an attendance record with more than 80 participants.
We would also like to thank the speakers once again for the exciting programme:
On November 11, 2024, we at IEAN officially launched our exciting research project, VITREOUSGRID, funded by the Austrian Research Promotion Agency. In collaboration with six Austrian distribution grid operators (TINETZ, Salzburg Netz, Energienetze Steiermark, Netz Oberösterreich, Kärnten Netz, and Wiener Netze), we are focusing on pioneering state estimation in distribution grid.
Our goal is to enable the sustainable integration of renewable energies into electrical distribution grids through innovative state estimation methods. We aim to utilize the modeling of real grid sections with "Digital Twins" for state estimation, to optimally support grid operators in planning, maintenance, and operation of modern energy systems.
We look forward to the collaboration and the exciting results to shape the energy future together!
In the issue of IET Generation, Transmission & Distribution (August 2024), a study by Darko Brankovic and Robert Schürhuber has been published, focusing on the dimensioning of generator circuit breakers (GCBs) in conventional power plants. The article, titled "Short‐circuit current of a hydropower plant with consideration of constant switching and fault arc voltages," systematically examines various parameters that influence the short-circuit current components of the generator, such as short-circuit angle, operating point, impedance ratios, phase clearing, switching arc, and fault arc.
The study proposes a comprehensive analysis of these parameters to accurately determine the short-circuit current, which is crucial for properly dimensioning GCBs. By developing a detailed model that includes these factors, the research provides insights into optimizing the design and enhancing the safety and reliability of conventional power plants. This study contributes significantly to power generation by offering a robust framework for understanding and managing short-circuit currents in conventional power systems.

On 27.11.2024, Dr Muhammad Abubakar successfully completed his dissertation with the viva voce examination. In his thesis entitled ‘Design and Analysis of New Control Strategies for Stability Enhancement of a Micro-Grid under Various Operating Modes’, he compares different controls for converters in microgrids and develops new methods for reliable operation even under difficult boundary conditions. Congratulations on his successful graduation!
Prof Schürhuber was invited to take part in a review process at the Brno University of Technology as an expert in electrical power engineering. In addition to gaining insights into the research and organisation of the faculty there, international contacts were also made and knowledge was exchanged with colleagues from both Europe and overseas.
Congratulations on your habilitation!
Dr Zhang successfully completed his habilitation in November 2024! In his thesis entitled ‘Stability and Testing of Grid-Connected Converters’, he deals intensively with the transient behaviour of converters in interaction with the electrical energy grid and thus makes a contribution to keeping our power supply stable and reliable even when feeding in from largely renewable sources.
The Vienna Hydro Conference took place in Vienna from 13 to 15 November 2024. The IEAN was represented by Robert Schuerhuber, Darko Brankovic, Dominik Grall and Wendelin Angermann, who presented various electrotechnical considerations on the subject of hydropower plants to an expert audience:
Many thanks to the Vienna University of Technology for the successful event!
In the current issue of IET Renewable Power Generation (August 2024), a study by Dr. Ziqian Zhang has been published, focusing on the dynamic modeling of clustered converter systems and the analysis of their "equilibrium manifold." The article, titled "Dynamic Modelling and Equilibrium Manifold of Multi-Converter Systems: A Study on Grid-Forming and Grid-Following Converters in Renewable Energy Power Plants," examines the interaction between grid-forming (GFM) and grid-following (GFL) converters.
The study proposes an innovative high-dimensional space modeling approach that facilitates the qualitative analysis of the transient stability of clustered converter systems. By developing a dynamic model for these systems, the equilibrium manifolds are derived and their stability analyzed. The research findings indicate that an appropriate capacity distribution between grid-following and grid-forming converters is critical for maintaining system stability. This study provides a theoretical foundation for the design and control of clustered converter systems and contributes to enhancing the operational stability of renewable energy power plants.

For more details, please refer to the full article in the current issue of IET Renewable Power Generation: Link
This year, the Institute of Electrical Power Systems was once again represented at the IEEE Power & Energy Society PESS 2024 conference. The following contributions were presented to the community and subsequently discussed:
Darko Brankovic
Comparison of different grid modeling structures for fault ride through analysis
Wendelin Angermann
Efficient method for calculating the reactive power supply by applying analytical load flow calculations
Gregor Schöpf
Evaluating Grid-forming Converter Performance: Insights from Power Hardware-in-the-Loop Testing
The published papers will be available on IEEE Xplore soon.
Foto by: TU Dresden
SF6 circuit breakers are the state-of-the-art in high-voltage systems to ensure safe grid operation. However, since SF6 is a greenhouse gas, alternative switching technologies, such as vacuum circuit breakers, must be used in the future. In the high-voltage field, there is still little operational experience with these alternatives. APG has decided, together with various partners, to conduct short-circuit tests and operational switching, during which high-frequency processes were measured using additionally installed CR dividers. The IEAN has been given responsibility for the scientific elaboration of this project.
In 2024, IEAN was once again represented by a delegation of 10 people at the OVE Energy Technology Conference in Salzburg. The top topics currently occupying the industry were: storage technologies for the integration of renewable energies, digitalisation in the energy system with the help of artificial intelligence, among other things, but also legal framework conditions for a successful energy transition and possible DC technologies in the distribution grids of the future.
In addition, selected key research areas from our institute were presented to an interested audience of experts during the moderated poster session. Once again this year, the IEAN was able to defend the Best Poster Award with the contribution ‘Future challenges in the grid connection of non-synchronous power generation plants’, congratulations to our colleagues Darko Brankovic and Philipp Hackl.
As in the previous year, IEAN graduates also received OVE Energy Technology Awards. We congratulate:
Many thanks at this point to the entire OVE team for the great organisation of the event as always, we are already looking forward to the next OVE Energy Technology Conference (15-16.10.2025) in Kufstein.
Photos: OVE/C. Fürthner, and private
Have you ever heard of grid-forming converters? In the beginning of October the Wind & Solar Integration Workshop took place in Helsinki which is one of the world's best forums on how to safely integrate renewable energy sources. An IEAN research team has been working on the subject for years and contributed to this year's conference with two presentations. The audience was characterised by a high number of industry representatives, which led to good discussions on the actual situation with grid operators, wind farm developers, converter manufacturers, testing institutes and international universities.
For the third time (previously in 2019 and 2022), the Institute organised a team-building event with all the trimmings on the initiative of Prof. Schürhuber. In classic energy engineering style, we started with a guided tour of the Simmering substation (380 kV GIS of Wiener Netze) and Wien Energie's Simmering power plant. Afterwards, as a group in Vienna, we naturally had to savour the culinary delights at the Schweizerhaus in order to tackle the workshop part with our external coach on day 2, well fortified and fully motivated. Immediately afterwards, we were given a special guided tour behind the scenes of Wien Energie's Spittelau waste incineration plant - Friedensreich Hundertwasser naturally sent his regards. On the last day, we moved the furthest away from our profession and were fascinated by the climatic wind tunnel for rail vehicles (and much more) at rta Rail Tec Arsenal and the pathological-anatomical collection of the Natural History Museum in the so-called Narrenturm.
Many thanks once again to all the employees of the companies mentioned who, with their expertise, gave us unique tours through their professional world, to our coach at the workshop, to Jasmine for the overall organisation and, of course, to our boss Robert, who made it all possible for us!
Daniel Herbst for the entire IEAN team
Graz University of Technology (TU Graz) is receiving extensive laboratory equipment worth over 400,000 euros from DEWETRON, a leading manufacturer of high-precision measurement systems from Styria. This generous sponsorship will support and promote various institutes of TU Graz. Further information: Link
We would like to express our sincere thanks for the support and look forward to using the measuring devices!
From 17-18 September 2024, the VDE ETG symposium on ‘Grid control and system management’ took place in Munich. The IEAN was represented by Robert Schürhuber, Darko Brankovic and Dominik Grall, who presented a paper on experiences with grid reconstruction and island grid tests.
In addition to many interesting contributions on the system management of the electrical energy grid of the future with increasing penetration of inverter-coupled systems, we were able to share our experiences of real grid reconstruction tests with a high-calibre audience and congratulate the VDE on the successful event!
The Institute for Electrical Power Systems at Graz University of Technology would like to thank Omicron for providing a CMS 156 amplifier. This device will be used in future investigations and it allows testing protection devices in real-time using simulated power systems.
In electrical energy systems, protective devices have the task of reliably and safely distinguishing between normal operation and faults. They can ultimately isolate faulty system components and equipment by opening circuit breakers, thereby clearing up faults such as a short circuit.
The effects of state-of-the-art equipment such as inverters with innovative control strategies (grid-forming) or FACTS on conventional protection relays are not collectively known due to the large number of different influencing parameters, which is why it is necessary to extensively test the compatibility of the equipment with the protective devices. Real-time simulations can be a suitable way of examining this compatibility. The sequence of such a test environment is shown below.
In this example, a short circuit influenced by an SSSC is simulated in real time together with a supplying grid and the faulty line. The corresponding voltage and current measurements of the faulty line are exported to the Omicron CMS 156, which sends the signals to the Device-under-Test (DuT), a real protection relay. The DuT ultimately decides whether a fault is present and can, for example, send a trip signal to the circuit breaker within the simulation environment.


The expansion of photovoltaics (PV) plays a key role in achieving climate targets. In addition to small-scale projects, large-scale projects in the megawatt range are becoming increasingly important. These large-scale systems are increasingly being realised as ground-mounted systems. A significant difference when considering the ohmic influence of such PV systems compared to substations is the larger size. We are currently conducting research on topics relating to such PV systems. One of these topics is atmospheric discharges (lightning) - direct strikes - in such systems.
To give you a small foretaste of the results, the following graphic shows a direct lightning strike with 100 kA in a module table row of a PV system. It will be interesting!
International cooperation is an essential aspect of research activities at universities. The IEAN maintains excellent relationships in this regard, collaborating with institutions in China through not only joint courses but also regular student exchanges. This summer, two IEAN employees visited academic partners at Tongji University and Dianji University in Shanghai, as well as Hefei University of Technology. Their visit included technical exchanges through discussion sessions and tours of various state-of-the-art laboratories. They had the opportunity to visit facilities such as the maglev test track, earthquake and wind tunnel test benches, and a high-voltage laboratory.
The recent publication of a study by Dr Zhang Ziqian in the prestigious IEEE Transactions on Energy Conversion marks an advance in the characterisation of stability energy systems that are significantly powered by renewable energy sources. The article entitled "Reactive Current Response of Grid-Forming Converters during Low-Voltage Ride-Through: Analysis of Test Method Impact" examines the functionality of grid-forming converters during voltage dips at the converter terminals, as they occur in the event of a fault. This behaviour has a decisive influence on grid stability in the event of faults in a converter-dominated grid.
In this study, Dr Zhang emphasises the need for accurate test equipment to evaluate the performance of these converters, which play an essential role in supporting the grid during faults caused by voltage dips. The results of the research indicate that many existing test methods do not adequately replicate real grid conditions and could lead to misleading assessments of grid forming capabilities. His study argues for the introduction of more sophisticated testing approaches, such as hardware-in-the-loop, to ensure that grid-forming converters actually function properly under real-world conditions.

Figure: Differences in GFM reactive current during faults for different testing devices, Upper part: VCC‘s reactive current, lower part: VI‘s reactive current
For further details on Dr. Zhang's research, the full study is available in the latest issue of the IEEE Transactions on Energy Conversion: Link
On 18 July 2024, some colleagues from our institute had the unique opportunity to visit the construction site of the Semmering Base Tunnel. After an extremely interesting introductory lecture on the monumental overall project, we took a shaft lift 400 metres down into the so-called emergency stop underground. This is an impressive cavern in the mountain, which was used during the construction phase for the assembly of two tunnelling machines (TBMs) and material handling. During operation of the tunnel, it can be used in the event of an emergency (e.g. fire) in one of the two tunnel tubes to evacuate a train and transfer to a train in the other tube.
The 27.3 km long Semmering Base Tunnel is expected to relieve the Ghegast line over the Semmering in 2029/2030 after a construction period of around 15 years and will reduce the journey time on the Graz-Vienna line by around 30 minutes at speeds of up to 230 km/h.
Many thanks once again to Manfred Praxl from IGT Geotechnik und Tunnelbau ZT GmbH and his colleagues from Implenia for the very competent and entertaining guided tour.
News for students of the lecture ‘Fundamentals of Electrical Power Systems’! The Institute of Electrical Power Systems (IEAN) is now operating a Discord channel (see [1]) to support learning.
In the Discord channel, students have the opportunity to ask questions about the subject matter of the written and oral examinations. In addition, employees of the institute actively discuss with the students to enable an interactive exchange.
The aim is to offer a low-threshold discussion platform to promote dialogue among students and get them excited about electrical power engineering.
We look forward to exciting discussions and to getting students curious about electrical power engineering!
As part of the IRI4SGC (Interoperable Research Infrastructure for Managing Sustainable Grid Cells) project funded by the EU-LAC interest group, we organised a project workshop with participants from Bielefeld University of Applied Sciences (HSBI) and our institute from 25-27 June 2024. At the same time, Felix Annen from HSBI also put the interconnected test setup consisting of a protection tester, a protection relay, two Raspberry Pis and a MV circuit breaker into operation during his 14-day research stay at our institute.
We would like to take this opportunity to thank our colleagues at HSBI for the cooperation in the course of our joint project and look forward to many more interesting projects.
On June 26, Dr. Ziqian Zhang participated in a workshop titled "Green Energy and Battery Storage Applications" held at the Faculty of Engineering at the University of Rijeka in Croatia. He delivered a lecture on "Advanced Grid Forming Feature Application in Utility BESS Scenario/Analysis of the importance of Grid forming function". The attendees included faculty and students from the University of Rijeka, Croatian grid experts, and owners of renewable energy installations in Croatia.
The replacement of powerful thermal power plants has already led to grid conditions in which converter-based power generation plants dominate the electricity grid in certain grid areas. In this case, these must take over the stabilising features of the well-known synchronous machines. One possibility for this is the use of more grid-friendly control concepts known as grid-forming (GFM) converters.
A research group at the IEAN offered a workshop on "grid-forming converters" on 20 June 2024. The content of the workshop can be roughly summarised as follows
An unforgettable highlight for GEE students:
On June 19, 2024, the students of the course "Fundamentals of Electrical Energy Systems" had the opportunity to experience an impressive and technically highly interesting field trip to the Fragant power plant group. This field trip offered an in-depth insight into Kelag's power plant operations.
Stations visited:
The field trip enabled our students to supplement their theoretical knowledge with practical experience and to experience the importance of renewable energies in practice. Many thanks to Mr. Sebastian Culetto and Mr. Christian Tengg from Kelag, who made this unforgettable day possible for our students.
Research at the Institute of Electrical Systems and Grids at Graz University of Technology is focussing on improving the reliability and performance of grid-forming inverters. The latest results have now been published in the journal IET Generation, Transmission & Distribution. The effects of current threshold variations on the dynamic response of grid-forming inverters are being investigated.
Grid-forming inverters are crucial for maintaining a stable power supply. They help to keep the voltage and frequency stable even during major disturbances such as sudden load changes or faults in the grid. This study presents a novel analysis method that equates current limiting and voltage regulation algorithms in a simplified circuit, which facilitates the modelling of grid-forming inverters and the power grid. This approach enables a deeper understanding of their behaviour during grid disturbances and helps to optimise their performance to better withstand disturbances.
The research led by Dr. Ziqian Zhang and Prof. Robert Schürhuber and their team shows that increasing the current threshold allows grid-forming inverters with certain control strategies to cope with larger phase jumps without losing synchronisation with the grid. This could lead to a more robust grid that is better able to cope with unpredictable conditions and integrate renewable energy sources.
We are delighted that we as an institute were awarded the ‘Energy Globe Styria Award 2024’ on 5 June 2024 for two projects.
Of the 63 projects submitted, we were able to impress in the ‘RESEARCH’ category with the ‘PHIL-Lab’ project. However, we were also involved in the ‘Styrian Energy Transition Education Network’ project, which received the coveted award in the ‘Youth’ category.
The current solar cycle 25 is causing spectacular events: Four gigantic coronal mass ejections (CMEs) from the sun hit the earth and led to increased geomagnetically induced currents (GICs) in the Austrian transmission grid. For the first time, direct currents of over 22.5 A were measured across the transformer star point in the south of Austria. In addition, the sky offered a breathtaking spectacle in the night from May 10 to 11, when auroras were visible over large parts of Europe.
Our institute was represented at the Long Night of Research (LNF) 2024. Under the motto ‘Voltage in the bathroom’, Martin Fürnschuß and Daniel Herbst explained what can happen when a running hairdryer falls into the bathtub. How can the electric current spread through the human body? Why can this be harmful? What remedial measures are available (protective measures against electric shock, residual current circuit breakers, etc.)?
During seven presentations from 17:00 to 22:30, numerous visitors were entertained and at the same time sensitised to the dangers of electric shock.
Tidy laboratories, busy activity, flashing displays and slightly nervous researchers – this is probably the best way to describe the atmosphere at the institute this afternoon. The reason was a visit from a film crew. The variety of research topics covered by the institute, from energy generation and transmission to its utilisation, was staged. Stay tuned to see what the film material will be used for!
On 28 March 2024, Daniel Herbst and Martin Fürnschuß were guests on the magazine Terra Mater Wissen by Servus TV and answered the question: What happens when the running hairdryer falls into the bathtub?
The new ProSafE² project video. Further information on the research project can be found at: https://www.ove.at/energiewende/projekt-prosafe2/
As part of an excursion organized by the institute on 13.02.2024, interested employees had the opportunity to gain experience and impressions from the practice of electrical power engineering at the Kaprun power plant group. On the one hand, the Kaprun Oberstufe power plant, which is currently being overhauled, and the Limberg II cavern power plant (593 MW in total) were visited; the former is currently being converted to full converter operation. We also had the opportunity to visit the impressive construction site of the Limberg III cavern power plant, which is currently under construction and will add a further 480 MW to the power plant group in the future.
Many thanks at this point to Stefan Polster from Verbund (former assistant at our institute), who guided us through the facilities and certainly made our day unforgettable!
Daniel Herbst

As part of the "Engage PV" research project, Herwig Renner and Peter Wohlfart visited Forschung Burgenland GmbH in Eisenstadt. Current topics relating to the expansion of PV in Austria were discussed in accordance with the areas of expertise of the interdisciplinary consortium from science and industry. The solutions that emerged cover a wide range of fields of action (technical, social, economic, regulatory, forecasting) and form the basis for further research activities.
Further information on the project is available on the project page.

'Voltage in the bathroom'. The duo from the Institute of Electrical Systems and Networks at Graz University of Technology explained the function of residual current circuit breakers and impressed the audience with elaborate props and dry humour.
On 17 November 2023, Prof. Schürhuber was invited by the Confucius Institute as a cross-university platform for promoting exchange between China and Europe to give a presentation on current research at the Institute of Electric Power Systems and on the academic exchange between the institute and Chinese universitites. The importance of current research topics for the future electricity grid was clearly emphasised, as well as the importance of international cooperation.
On National Day, Alexander Fröhlich und Peter Wohlfart presented our contribution to the research cooperation SWAP (Space Weather: An Austrian Platform) at the two-day performance show of the Austrian Armed Forces. They presented to numerous students and interested visitors the Europe-wide unique area-wide neutral point current measurement. The geomagnetically induced neutral point currents are measured and recorded at nine transformers in the Austrian transmission grid. The data obtained from these measurements serve as the basis for deriving valuable recommendations for action, which are available to APG to ensure and optimize the safety of the power grid.
Both days were extremely exciting and filled with joyful anticipation of future project work.
Further information on the project are available directly at SWAP: https://swap.zamg.ac.at/index.php/at/
This year's OVE Power Engineering Conference took place in Klagenfurt on 18 and 19 October. In addition to presentations from science and industry, extensive discussions and the annual award ceremonies, this year's event was rounded off by a science cabaret by the Science Busters.
Graduates and staff of the IEAN were able to celebrate several awards this year:
The Institute for Electrical Systems and Networks would like to congratulate all award winners!

Together with the FEEI, Oesterreichs Energie and the WKO, the OVE has initiated the "Join the Future" campaign to draw young people's attention to the fascination behind various sub-areas of electrical engineering and thus counteract the shortage of skilled workers.

For more details see zukunftserfinderinnen.at
As part of the TU Graz holiday programme "T³UG - – Teens treffen Technik” (Teens meet Technology), 25 young people, mostly female, visited us at the Institute of Electrical Power Systems.
Lothar Fickert organised guided tours of the electrical power laboratories, a trial lecture with Robert Schuerhuber on electrical power systems and a meet-and-greet with our two electrical engineers Katrin Friedl and Carina Lehmal. Dear students, thank you for your interest in becoming an enabler of the energy transition, and we would be very happy to welcome one or the other of you back as an electrical engineering student!
You also want to do an internship at TU Graz? Find out more here: https://super-science-team.tugraz.at/kurse/tttug/
This year, one of the most important conferences in electrical power engineering, Powertec, took place in Belgrade. IEAN was represented there and Darko Brankovic showed a highly topical subject on the verification of grid connection conditions of hydro generators. We also got to meet the master himself at the Nikola Tesla Museum!
As part of the course Electrical Energy Systems 2, students of this lecture were able to visit the power plant site Mellach of Verbund AG on 23.06.2023. Both the gas-fired combined cycle power plant Mellach (incidentally the most powerful power plant in Austria!), as well as the somewhat older district heating power plant Mellach were visited. In addition, the participants were shown a demonstration plant from the field of green hydrogen. However, the demonstration of "Cerberus" turned out to be a special highlight - the robot dog supports the staff on site as a digital assistant. We would like to thank Christof Kurzmann-Friedl for the highly exciting excursion!
The TSK H7 group of the OVE - Short Circuit in Electrical Systems - chaired by Prof. Schürhuber, met for its annual meeting this time at the premises of the AIT in Vienna. After an interesting technical discussion, Dr. Brauner gave an impressive demonstration of the effects of short circuits in the test field there!
In the course of the lecture Fundamentals of Electrical Energy Systems 25 students had the opportunity to gain experience and impressions of electrical power engineering from the practical side. The visit at KELAG/KNG on 2023/06/21 included:
Special thanks to our colleagues from KELAG/KNG Christian Tengg, Hans-Jürgen Wernegger, Roland Kroll, Dietmar Holzer, Amel Skenderi, Markus Schoaß and Leo Friesacher for making this an unforgettable day.
The individual dynamic behavior of power electronic equipment such as converter systems and their effects on the operational management of the transmission grid is a cutting-edge research topic of the Institute for Electrical Systems and Networks. For example, IEAN has supported Austrian Power Grid in setting up, carrying out and evaluating short-circuit tests in the 220 kV transmission grid. These tests were carried out in the presence of a powerful converter. The measurement results provided important insights into the behavior of the operated converter in the event of a fault and, with these results, form a solid basis for field experience with converters in the event of a fault.
Prof. Robert Schürhuber, Dr. Zhang Ziqian, and Mr. Maximilian Heinz Brestan participated in the 23rd International Scientific Conference on Electric Power Engineering (EPE) held in Brno, Czech Republic from May 24 to 26.
Prof. Schürhuber delivered an invited keynote speech titled "Grid Protection Issues of Converter Dominated Generation Systems." His insightful presentation delved into the challenges and innovative solutions surrounding grid protection in converter-dominated generation systems. Engaging in thought-provoking discussions, Prof. Schürhuber's expertise enhanced the intellectual exchange at the conference.
Dr. Zhang Ziqian's presentation, "Interactive Dynamic Characteristics of Angle Stability of Multi-Converters System," shed light on the complex dynamics and stability aspects of multi-converter systems. His contributions sparked fruitful discussions among researchers and industry professionals, exploring avenues for advancements in the field.
Mr. Maximilian Heinz Brestan presented on "Aspects of grid-connected converters and their inherent influence on the power grid." His comprehensive analysis provided valuable insights into the inherent impact of grid-connected converters on the power grid, encouraging further research and collaborative efforts.
Furthermore, Prof. Schürhuber assumed the role of chairperson for the conference session on Power System Components Co-simulation and Testing. His leadership ensured a productive and collaborative environment, facilitating fruitful discussions and knowledge sharing among the participants.
The 23rd International Scientific Conference on Electric Power Engineering served as an important platform for renowned experts like Prof. Robert Schürhuber, Dr. Zhang Ziqian, and Mr. Maximilian Heinz Brestan to exchange knowledge, share innovative ideas, and promote progress in power engineering. Their active participation in the discussions and sessions reinforced their commitment to driving advancements in the field.
As part of the course “Elektrische Energiesysteme 2”, an interactive course unit was held in the physics lecture room P1 on 2023/05/17. Students from several courses of our Institute were able to participate in exciting experiments in the field of thermodynamics. For example, the boiling and subsequent cooling (temperature curve comparable to the voltage at a capacitor) of water was analysed, the functioning of a Stirling engine was explained and the ignition of methane foam was demonstrated.
We would like to express our special thanks to the Institute for Experimental Physics, especially to Dr. Roland Lammegger and Prof. Martin Schultze for carrying out and supervising the experiments.
In the course of a scientific study, the electric field of a 220 kV overhead line was analysed using the finite element method (FEM). The aim of the study was to compare the field characteristics between two different tower configurations that differ in terms of geometry, conductor cables, phase arrangements, insulators and armatures. With the towers modelled in detail in CAD in three dimensions, an electrostatic model was created in the FEM programme Ansys Maxwell 3D. Of particular interest was the field curve (maximum value in the time domain) in the area of the insulators, i.e. between the conductor cables and the arms. It is noteworthy that the choice of phase arrangement and the position on the tower had hardly any effect on the magnitudes of the field curves in this area.
The largest solar storm in recent years hit Austria on April 23-24. Even polar lights were visible in Austria. Additionally, the highest ever recorded GICs were measured in the transmission grid of Austrian Power Grid AG. Peaks of up to 20 A DC were detected with our neutral point measurement system. The picture shows the magnetic field measurements at Conrad Observatory by GeoSphere Austria and one of the 9 neutral point measurements during the first phase of the storm.
Also this year, a delegation of TU Graz from the institutes IEAN, IHS and IEE travelled to Glasgow for a 3-day workshop to strengthen the cooperation with the University of Strathclyde. The topics covered included integrating powerful offshore wind power plants, energy distribution via MVDC cables, and local use via energy communities. A technical highlight was the visit to the National HVDC Centre, which has multi-terminal replicas of the control and protection systems of HVDC projects in Scotland. Thank you again for the hospitality and we are looking forward to the next workshop in Graz.
Shortly before the Easter vacations, Prof. Schürhuber visited the AHS HIB Liebenau in Graz. He presented a lecture on the topic of "Power grids and energy supply". In view of the climate crisis, the current state of energy supply was presented and approaches for future developments were discussed. Subsequently, educational paths from the HIB via the TU into the professional world of technology were shown and questions about studies and careers were discussed in plenary.
Maybe you have heard it in the media, or if you were in northern Germany and further north even seen it: In the night of March 24, a solarstorm hit the Earth. In addition to northern lights, solar storms also cause direct currents in power grids, which can lead to significant disruptions. The Institute of Electrical Power Systems measures these currents in the transmission grid of APG, analyzes the data and calculates possible effects. The picture shows one of the nine installed current measurements as well as the geomagnetic field measurements of GeoSphere Austria. The impact of the storm on the earth can be clearly seen in the measurements, but the induced currents remained at a harmless level for the grid. More info about solar storms and their effects can be found at
www.iean.tugraz.at
The ORF Styria (regional television channel) dedicated a report to our employee Daniel Herbst or his rather unusual hobby with the title "Crochet art: Balance for an electrical engineer". This was broadcasted as part of a series by Sigrid Maurer in “Steiermark Heute” (daily regional news program) .
On September 10, 2022, real island tests took place in Upper Austria with the participation of Netz Oberösterreich and EnergieAG, in which the start-up process of a combined cycle power plant with a capacity of 400 MW was successfully tested with the help of hydropower plants with a total capacity of 100 MW.
Two hydropower plants, each with two generators and two pumping units of a pumped storage power plant, were used in the entire start-up process, which were interconnected by a 100 km long 110 kV single circuit system. Subsequently, the Institute of Electrical Power Systems created a simulation model and modeled and parameterized the electrical components based on the measurement results.
The simulation results, such as the validation of the simulation model or even the minimum required number of rotating masses for a successful start-up process, were prepared and submitted in a paper for CIRED 2023 in Rome.
On 21.1.2023, as part of the lecture "Planning and Operation of Electric Power Systems", a field trip was made to the central control room and to the largest Austrian substation, Vienna Southeast, both under the responsibility of the transmission system operator APG.
The country's energy flow is controlled from the central control room, and the students were explained and shown the processes involved directly by the head of system operations. The impressive substation was visited as part of a guided tour, all components were explained and some switching operations of 380 kV disconnector were carried out. And the theory was not neglected either, lectures dealt with the planning and operation of the transmission grid and the European process of system adequacy planning was also explained.
The excursion was, also thanks to the competent and friendly support of APG, which we would like to thank very much, a great event, which impressed every participant!
From 12-13.1.2023 we welcomed Mr. Adam Dyśko, Senior Lecturer at University of Strathclyde in Glasgow, Scotland. The researcher, who comes from Poland, works mainly in the field of protection of electric power systems. During the laboratory tour at the Institute of Electrical Power Systems and the guest lecture, many interesting overlapping topics with our research groups emerged. In particular, the increased use of converters and the massive growth in distributed generation raise questions about the effectiveness of current protection methods. Many thanks for the detailed guest lecture and the subsequent discussion.
On 26 October 2022, the Dr. Karl-Heinz Weck Prize was awarded for the first time by the FGH (Research Association for Electrical Systems and Power Economics) to Wendelin Angermann in the historic transformer house in Mannheim. He was able to convince the jury with his Bachelor's thesis "Reactive Power Supply of Electric Power Plants" and the associated practical tests. In addition to the extensive calculations, the jury particularly emphasised the verification of the results by carrying out experiments in an operating power plant.
An exciting research colloquium where highly topical issues are discussed and an informal, inspiring and productive exchange of knowledge, experience and ideas takes place.
Many thanks to all participants with their contributed topics:
As the Institute for Electrical Power Systems, we were also able to make a contribution to the Project Week Energy Communities in the form of presentations on the topics of future electrical grids, power quality and short-circuit calculation. In the course of the project week, students of the HTL-BULME Graz-Gösting and students of the FH Joanneum Kapfenberg had the opportunity to work on practical projects, e.g. on the integration of photovoltaic systems in different regions, based on interdisciplinary issues. A big thank you to all the organisers, especially Willi Weigend from the BULME.
Daniel Herbst
Austrian Power Grid AG wins the TÜV Science Award in the category of companies with its cooperation project with IEAN for the development of a new neutral point measuring system. This new measuring system is mounted on the neutral point switch. This allows the measurement of neutral point currents without any restrictions on operation.
APG Press Release: https://www.apg.at/news-presse/apg-holt-dank-forschungskooperation-mit-der-tu-graz-sonnenstuerme-zu-messen-erneut-gold-beim-tuev-wissenschaftspreis-in-der-kategorie-unternehmen/

This year the IEEE Power & Energy Student Summit and Power Electronics Student Summit 2022 (PESS & PELLS 2022) was again held in Kassel, Germany. Our institute was strongly represented at this great conference with 4 participants, Darko Brankovic, Philipp Schachinger, Alexander Fröhlich and Manuel Galler.
Congratulations to our university assistant Manuel Galler for receiving the Best Presentation Award, sponsored by CIGRE NGN Germany.
Special thanks to Fraunhofer IEE, Universität Kassel and Hochschule Bonn-Rhein-Sieg for this great conference!
On October 19 and 20, the OVE Energy Technology Conference took place at the Seifenfabrik in Graz. In addition to interesting discussions about the future of the energy transition and e-mobility, the OVE Energy Technology Award was again presented. We are very pleased that our former master student and current PhD student Carina Lehmal was able to dust off the first place in the category master theses at TUs and FHs.
With her research on converter stability during grid connection, she was able to convince the expert jury.
The OVE Energy Technology Conference is the industry meeting of the year and was held this year as a home game for us directly in Graz, whereupon we participated in this event of the OVE Austrian Association for Electrical Engineering.
The focus of this year's conference was on energy storage technologies, infrastructure for e-mobility and innovative electricity-based processes for industry and commerce.
Due to the thematic coverage of our institute's focal points, it was a matter of course that the institute's director, Prof. Robert Schürhuber, provided an instructive contribution to the conference, including a small live experiment supported by his IEAN assistants.
Follow us on: https://www.linkedin.com/feed/update/urn:li:activity:6990642279308779520
Around 40 interested parties attended the first stakeholder workshop of the ProSafE2 project on October 18, 2022 at the Seifenfabrik in Graz. The aim of the workshop was to involve the industry in the project and to discuss open questions together.
In the first part of the workshop, the project partners addressed partial aspects of the project in five presentations:
The five presentations were followed by an interactive workshop. The following questions, among others, were discussed in groups:
Many thanks to all attendees for their active participation and lively discussions! The next stakeholder workshop of the ProSafE² project is expected to take place in spring 2023.


To discuss the future orientation of the Institute as well as internal processes and procedures, the entire staff went on a retreat on 5 October 2022. In keeping with our profession, electrical power engineering, our workshop took place at the foot of the Kölnbreinsperre in the Berghotel Malta/Carinthia. In autumnal sunshine, a wide variety of questions and opinions were discussed.
The second day brought a marathon of 4 guided tours and visits to the Malta-Reißeck power plant group of Verbund: First thing in the morning we started with a tour over and through the dam wall of the Kölnbreinsperre, which is the highest dam in Austria with a height of 200 metres. Afterwards, the recently modernised Malta Oberstufe power station at 1655 m above sea level was visited with its two reversible vertical Francis pump turbines (5 - 80 MW each) together with the associated converters. Back in the valley, the tour continued past the impressive penstocks to the Malta main stage power station with a total congestion power of 730 MW distributed over four machine sets. From there we continued to the impressive Reißeck II power station, which with a capacity of 430 MW is the second largest pumped storage power station in the Malta-Reißeck power station group and was built completely underground in the mountain due to its cavern design. Many thanks at this point to our colleagues from Verbund for the great insights and the highly interesting guided tours.
At the end of the three-day team-building excursion, the last energies of the participants were activated to undertake a hike to the Umbal Falls in the Virgen Valley in East Tyrol.
Daniel Herbst
With his stage performance "Netzfehler - wir müssen draußen bleiben" energy technology researcher Manuel Galller from Graz University of Technology won the Science Slam 2022 at the Orpheum in Graz. 
Dear Manuell, our institute is proud to have you as a staff member with us.
You can find a summary of the Science Slam: here
Electrical protection - on behalf of our safety
The free iMooX course: "Electrical protection - on behalf of our safety" starts on 3.10.2022. Registration and further info as well as the creditability with the course "Safety and protective measures" can be found here:
https://imoox.at/course/ESAUS22
In order to achieve an energy supply from renewable energy sources, the integration of energy storage systems in the grid is indispensable. Within the H2020 project MERLON, which was co-supervised by DI Markus Resch within the framework of a PhD thesis, a 250 kWh battery storage system with an power of 250 kW was examined in practice in the power grid of Energie Güssing. Besides testing the core functionalities of battery energy storage systems, one of the main findings was that special attention must be paid to the safety and protection measures in island grid operation.

The Kaprun Oberstufe hydropower plant is part of the Kaprun power plant group. This group consists of several storage and pumped storage power plants and is located in the Glockner Group in Austria. In the Kaprun Oberstufe power plant, two full converter machine sets with 85 MVA each are currently being commissioned in the course of a power plant revitalisation. Thanks to the speed variability, active power points can now be flexibly approached at optimal efficiency levels in generator and pump operation. Thanks to the high active power flexibility, Kaprun Oberstufe makes an important contribution to achieving the energy transition and contributes to the stability of the Austrian transmission grid. The Institute of Electrical Power Systems TU Graz supported the operator of the power plant, Verbund Hydro Power GmbH, in carrying out a measurement to investigate the operating behaviour and the grid feedback effects. In the process, 34 measured variables were recorded and evaluated in a time-synchronised manner. Thanks to our colleagues at the University of Applied Sciences Upper Austria for their support with measuring equipment.
You can find further information at: ww.iean.tugraz.at.
Report: https://www.linkedin.com/feed/update/urn:li:activity:6939968207814348800
In this episode of ARTE's program 42-The Answer to Almost Everything, Prof. Herwig Renner and other experts explain the impact of solar storms on our infrastructure, power grids and daily lives.

https://www.arte.tv/de/videos/104840-006-A/wie-gefaehrlich-ist-das-weltraumwetter/
"Protection technology MOOC" ... what is that actually? In a nutshell: a pocket-sized course on the basics of protection technology - handy, comprehensive, accessible worldwide. In the full text, the acronym MOOC stands for Massive Open Online Course and describes a training format suitable for broad use.
Modern times, modern media - guided by this motto, em. Prof. Lothar Fickert started 3 years ago to bring the basics of network and system protection technology into a contemporary form. Subjects like time-overcurrent protection, differential protection, distance protection, earth-fault protection - these are the core functions that are waiting to be clicked on in about 3 dozen 6-minute videos.

... and what did the interested community click 150,000 times? Differential protection is the absolute front runner, followed by ground fault issues, then follow... but see for yourself and click:
https://www.youtube.com/playlist?list=PLhy2nHJciTEDlw4RE9Gk6h0BKXaQ1O3-Y
Then you are among those 1200 weekly new clicks mentioned above! Have fun and … “enjoy protection"
Robert Schürhuber
At the invitation of Austrian Standards International (ASI), the Austrian Electrotechnical Association (OVE), the European Commission, the Federal Ministry for Digitalisation and Economic Affairs (BMDW) as well as the Austrian Federal Economic Chamber (WKO), an information event on the new EU standardisation strategy (ENS) was held at ASI in Vienna on 9 June 2022. Numerous experts from the branch illustrated the importance of standardisation and the relationship with new challenges. Under the motto "green, digital, future-oriented", various aspects of different stakeholders were highlighted and discussed. Representatives of the EU Commission, the Austrian economy, education and training institutions, standardisation organisations and the BMDW presented their respective views on the topics to provide a basis for interesting discussions. Daniel Herbst participated on behalf of IEAN with a presentation on "Young Professionals and the Future of Standardisation".
Further information and pictures can be found at: austrian-standards.at/.../EU-Standardisierungs-Strategie
Copyright picture: Credit: Austrian Standards, Fotograf Lukas Ackermann
Text: Daniel Herbst
From 21.06. to 22.06.2022, a total of around 470 experts in protection and control technology from almost 10 nations met at the VDE ETG/FNN Tutorial in Berlin/Germany. In total, the audience was provided with technical contributions from practice-oriented research and industry in the form of almost 40 oral presentations and 32 posters. The topics discussed included
Parallel to the presentations and workshops, the event was rounded off by an exhibition with 29 industry-specific manufacturers. IEAN was represented with an oral speech (Prof. Schürhuber), two posters (DI Galler, DI Herbst) and a total of 4 people on site.
DI Galler received first place in the Best Academic Poster Award for his contribution entitled " Distanzschutzverhalten auf den Fehlerstrombeitrag einer Erzeugungsanlage mit Vollumrichter “. Congratulations from the entire IEAN team!
Daniel Herbst
On 7 June 2022, the BIG Bundesimmobiliengesellschaft m.b.H. invited participants to an information event on BIG and UNIVERSITIES 2022. Wolfgang Marth (BIG Graz) organised 10 high-level speakers from science and industry who gave keynote speeches on the four key topics of
which laid the foundation for further discussions and technical exchanges. With the three pillars of the event "Sustainability - Electrical Engineering - Safety", the organiser has already summarised the burning issues of the industry in the subtitle. After a break of several years, a total of around 100 participants (all of them planners, partners from industry and research or employees of the Styrian universities or BIG) exchanged their views on the above-mentioned issues during the one-day event. Rector Harald Kainz also highlighted the importance of such an interaction between all stakeholders in the course of his opening speech. The IEAN was able to support the information event with presentations by K. Friedl, D. Brankovic, M. Fürnschuß, E. Schmautzer and D. Herbst.
Daniel Herbst
Students and institute members of IEAN had the opportunity to visit different mast construction sites of the Salzburg line in consultation with APG. APG took the time for one day to answer questions of all excursion participants and to present masts in different phases of completion.
Many thanks for this!
Finally, the absolute highlight of the day was the observation of the rope pull between two pylons. It was an absolute experience to witness line construction live and to be able to perceive the dimensions as well as the challenges of this demanding expansion project in Austria.
With beautiful weather, representatives of TU Graz visited a two-day workshop in Glasgow to strengthen the cooperation with the University of Strathclyde. In addition to exchanging knowledge of the joint research topics, we had the chance to get a good overview of the impressive laboratory facilities on campus and in the nearby PNDC laboratory. We are looking forward to future joint projects and walking together on the path of a Scotsman who shaped electrical engineering, James Clerk Maxwell.


Philipp Hackl
Due to high load flows, 220 kV lines in Austria are exposed to high loads and operating limits or (n-1) limits are reached repeatedly. Due to the increasing demands on the grids (mainly due to the expansion and grid integration of renewable energies (cf. EAG), new pumped storage power plants and developments on the electricity market), the loads will continue to increase, and the question arises which physical system limits exist in the 220 kV grid (also with the application of weather-dependent overhead line operation (dynamic line rating) or with the use of TAL cables ropes, so-called "high temperature ropes").
The use of high temperature ropes with lower thermal expansion allows higher ampacity. Line capacities and inductances remain almost unchanged, so the surge impedance of the overhead line hardly changes. The utilization of the increased ampacity and (n-1) reserve therefore causes a correspondingly increased reactive power consumption of the overhead line, which must be covered by power plants or compensation plants nearby.
In the project, calculations and a short study were performed at IEAN on behalf of Austrian Power Grid AG (Austria's transmission grid operator, responsible for secure power supply and central to the energy transition in Austria) to evaluate and assess the physical limits. For this purpose, several calculations were performed, which exemplarily reproduce strong load flows in a regional 220 kV grid area and limits of expansion scenarios were determined.
The results show that physical limits appear at (very) high load flows due to voltage and reactive power problems. The reactive power consumption in (n-0) and (n-1) cases at high initial loads can no longer be covered without further measures, so that voltage problems occur in the considered grid area. Additional local compensation systems, which are limited by size and space requirements, contribute positively to voltage maintenance, but cannot provide all the reactive power needed for voltage stabilization. In addition to the voltage problems, the changed distribution of load flow in the grid must be taken into account. Due to the grid topology, an increase in power transport on the line under study is associated with a change in load flow on the parallel network meshes and must be considered accordingly.
Conclusion:
Without accompanying measures, voltage problems and limits of transmission capability occur in the 220 kV grid area under consideration. Even with accompanying measures such as compensation systems and a coordinated power plant deployment concept for the provision of reactive power, physical limits exist. Further increases in transmission capability are then possible, especially with an increase in the operating voltage to 380 kV.
Philipp Schachinger
OMICRON serves the electrical power industry with innovative products and services for testing, diagnostics and monitoring of assets worldwide. We help to make the generation, transmission and distribution of electricity safe and reliable.
complete program:
Interview: Grid expert Daniel Herbst from Graz University of Technology on the energy mix of the future, the need for rapid grid expansion and why 100 percent electromobility will not be available in the future.
© 2022 AK Tirol
In high voltage grids with a high percentage of cables, voltage limits can be exceeded due to the increased reactive power demand. A mitigation method can be shunt reactors, which are located on the tertiary side of coupling transformers or directly on the high voltage substations. For proper operation, not only the static compliance but also the transient voltages must be below the maximum limits of the equipment. With the investigation of switching operations for different compensation variants in EMTP, IEAN supported the grid operators in the planning of a substation with gas insulated switchgears. The variants were analyzed for grid restoration scenarios, grid resonances and the use of optimized RC snubbers in the medium voltage.
If a device slips into the water, it is most likely broken. However, if it is connected to the power grid, it can be fatal for humans. The thought is tempting. Comfortably watching a film or talking to your girlfriend on the phone while sitting in the warm water. All kinds of trays and holders are now available to place your tablet or mobile phone as comfortably as possible above the bathtub. But what happens if it falls into the water? Is that as dangerous as a hairdryer?
"If the device is not connected to the mains, the voltages are usually so low that people don't feel anything," says Katrin Friedl from the Institute for Electrical Systems and Networks at Graz University of Technology. Battery-powered devices would simply break in the water if they were not well protected against it. "That's the worst thing about it," says Friedl with a smile.
At around five volts, the voltage of a USB is lower than that of a battery - which you can also touch without feeling anything. If you touch a nine-volt battery with your tongue, you just feel a (harmless) tingling sensation. In the electric circuit, the heart stops. It's completely different when a device is plugged into the socket: "Then I have a connection to the mains and to a higher voltage," explains Friedl. If electricity flows through the heart, i.e. between the two hands or between hand and foot, it becomes really dangerous for people: "The mains voltage of 230 volts is lethal," says Friedl. Although electrical installations have several safety precautions, it is better not to rely on them and never charge your mobile phone while surfing in the bathtub.
Voltages as low as 50 volts can be life-threatening: they trigger ventricular fibrillation, the heart can no longer pump blood through the body. This can happen if a defective electrical appliance is connected to the mains and several safety levels fail, says the electrical engineer. She therefore advises people to look for the CE mark on all purchases, i.e. that appliances have been built and tested according to European standards. Otherwise they may not be as safe as they should be. However, all plugs that conform to standards are built in such a way that they can be touched without anything happening. She also recommends that household electrical installations be checked by experts at least every ten years: Is the protective conductor connected in the sockets? Is the insulation still in order? Are the built-in switchgear state of the art? Even if you connect a lamp, you should know exactly how to do it and switch off the power beforehand. What you can and should do yourself: check the residual-current circuit breaker with the test button in the power box. Although all the appliances go out with the power and you might have to set one or the other clock, the effort pays off twice a year in the service of safety, says Friedl. She advises: "The time change is a good occasion. You have to set the clocks again anyway.
![]() | Ass.Prof. Dipl.-Ing. Dr.techn. Katrin Friedl |
Copyright © 2022 Die Presse 12.02.2022
The head of the institute, Prof. Schürhuber, was especially interested in having another Christmas party in presence in 2021. The COVID regulations allowed this, so, no sooner said than done, we met on 2021.12.21 at the Ristorante/Focacceria San Pietro.
In a fine little round we were able to discover the full culinary range of this restaurant. Some of us were even tempted to try the house specialty, focaccia. At the beginning quite skeptically, however, finally all those colleagues who dared to do so were delighted by the specialty. Following an old tradition, our external lecturers were of course also invited to the IEAN Christmas party and, like all attendees, they visibly enjoyed the party.
| APA0283 5 WI 0367 CI Do, 16.Dez 2021 Do, 16.Dez 2021 Strom/Energiewirtschaft/Gas/E-Control/Österreich/Wien TU-Professor sieht kein Strom-Blackout drohen Renner: Aus früheren Ausfällen wurden Lehren gezogen - "Stehen heute viel besser da" - 380-kV-Ring wesentlich - Flexible Gaskraftwerke als Reservekapazität nötig |
| Wien (APA) - In Österreich und auch in Europa habe es bisher in der Stromversorgung noch kein echtes Blackout gegeben - abgesehen von größeren, aber begrenzten Stromausfällen, die rasch wieder beherrscht worden seien. Das sagte der Grazer TU-Professor Herwig Renner in einem Online-Talk des Regulators Energie-Control. Aus größeren Ausfällen seit den 1960er Jahren habe man Lehren gezogen. Für ein echtes Blackout müsste es zu einem Zusammenspiel mehrerer großer Ereignisse kommen, sagte E-Control-Vorstand Haber. Renner nannte etwa das Zusammentreffen einer Kältewelle mit starken Winterstürmen, "das wäre einmal die Voraussetzung". Trennungen im Netzsystem habe es gegeben, die seien aber immer beherrscht worden, so der TU-Professor. So habe der Ausfall 1965 in New York gezeigt, dass die Regelbarkeit des Netzes verbessert werden müsse: "Heute stehen wir viel besser da." Das im Jahr 2003 finstere Italien habe gezeigt, dass Netzbetreiber grenzüberschreitend kooperieren müssen. Auch beim Systemsplit 2006, als Europa zeitweise in zwei bzw. drei Teile zerfallen war, sei "das Netz als solches in Betrieb" geblieben: "Das war im eigentliche Sinne kein Blackout", sagte Renner. Ein wesentlicher Beitrag dafür, dass es in Österreich nicht zu einem Blackout kommt, sei der 380-kV-Ring. Im Schnitt war bei den österreichischen Haushalten in den letzten Jahren die Stromversorgung laut Haber für 25 bis 27 Minuten im Jahr unterbrochen, das sei im europäischen und im weltweiten Vergleich "ein sehr guter Wert". Für Industriekunden seien die Werte noch besser, so Renner. Angesichts des geplanten starken Ausbaus der Erneuerbaren Energien plädierte Univ.Prof. Renner vom Institut für Elektrische Anlagen und Netze der Technischen Universität Graz dafür, Reservekapazitäten zu bauen, denn: "Die Dunkelflaute schwebt wie ein Damoklesschwert über uns" - also Zeiten ohne PV- und Windstrom. Nötig seien flexible Gaskraftwerke, die auch mit der Wasserstoff-Technologie kompatibel sein sollten. "Wenn die begleitenden Gaskraftwerke nicht kommen, wird auch ein Abschalten der Kohlekraftwerke nicht möglich sein", so Renner. Anders als E-Control-Vorstand Haber ist der TU-Professor "vielleicht nicht ganz so optimistisch", dass es in Österreich gelingen wird, bis zum Jahr 2030 die Stromversorgung - bilanziell übers Jahr gesehen - ganz auf Erneuerbare umzustellen. |
Zur Aufzeichnung des Gesprächs: https://attendee.gotowebinar.com/recording/8787550236610761741
sp/ivn
Even in these difficult times, you will find a suitable contact person in us.
The new solar cycle 25 shows its effects: A massive coronal mass ejection(CME) on November 1 and 2 hit the earth on November 3 and 4 and caused high geomagnetically induced currents(GICs) in the Austrian transmission grid. The increased currents were measured and analyzed with the measurement system developed at the Institute of Electrical Power System at Technische Universität Graz. The picture shows the time series of three of the eight installed measuring devices in the transmission grid of Austrian Power Grid AG. For more information, please visit
www.tugraz.at/en/institutes/iean/research/power-quality-supply-reliability/low-frequency-neutral-point-currents

Philipp Schachinger
With the support of Austrian Power Grid AG and Siemens Energy AG, a high-voltage test cell for transformer tests was set up at IEAN. The test cell has now been handed over to IEAN. As part of the project Low-frequency Neutral Point Currents 2, the influence of solar storms on transformers and the Austrian power transmission grid is being investigated at IEAN.
For more information, please visit https://www.tugraz.at/en/institutes/iean/research/power-quality-supply-reliability/low-frequency-neutral-point-currents

People in picture from l. to r.: Dennis Albert, Philipp Schachinger, Herwig Renner, Gerald Leber, Martin Stössl
On 18 October 2021, the ECSEL-Austria conference on " Sustainable Society: Move Data, not People - Positioning Europe " took place in Vienna. In the course of the conference, the award ceremony for three Bachelor's/Master's theses on the topic of "Electronic-Based Systems" was held, where submissions were reviewed and graded by a jury of experts.
IEAN would like to congratulate Carina Lehmal on winning first place with her master's thesis "Investigation and Validation of Stability for the Photovoltaic Integration into a Medium Voltage Grid Based on PHIL Testing" supervised by Dr. Zhang and Prof. Fickert.

Ziqian Zhang


The first joint online course has started this semester! To prepare students well for the class, Dr. Zhang (TU Graz) produced 6 MOOCs in cooperation with our LLT Team. This service was highly appreciated by all students (TU Graz, Tongji University, Dianji University). At the beginning of October the first online lecture went on air. Even though the first lecture on Modern Power Systems - jointly taught by Dr. Zhang and Prof. Chen (Shanghai Dianji University) – took place during the Chinese national holidays, many students participated in the class both online and in the seminar rooms at the different universities. In the weeks to come students will be matched to work on different projects in small international groups.
If you are interested in offering a joint online course with a partner university click here (https://tu4u.tugraz.at/bedienstete/meine-karriere/auslandsaufenthalte-international-weiterbilden-lehren-und-forschen/wissenschaftliches-personal/joint-online-courses/).
Next call: April 15, 2022
Barbara Böttger, International Office - Welcome Center
A blackout is an extremely rare catastrophic event - it's the worst-case scenario for the power grid operator that "we don't think is likely," reassured E-Control board member Alfons Haber at a recent technical lecture. "It's rare," Prof. Herwig Renner from Graz University of Technology also confirmed, "but you can't completely rule it out."
Further Information:
- Presentation of the study by Prof. Renner
Press releases:
https://www.kleinezeitung.at vom 14.10.2021
https://www.derstandard.at vom 27.09.2021
From 6 to 7 October, the OVE Energy Technology Conference 2021 took place this year as a hybrid event with about 200 participants at the voestalpine Stahlwelt in Linz. Prof. Schürhuber talked about the technical challenges of integration of renewable energy sources in his presentation on "Grids and Power Electronics". Furthermore, the evening event was used to award prizes for graduation theses, and the IEAN would like to take this opportunity to congratulate Philipp Hackl as one of the winners of the Prof. Werner Rieder-Preis.
This year's team-building event took the institute's staff to Leutschach on the southern Styrian wine route. In the course of a 12 km “Minigolf-Buschenschank” hike, team spirit was strengthened and the culinary delights of southern Styria were enjoyed.

Daniel Herbst
We are proud to congratulate our newly graduated doctors Stefan Polster and Mike Lagler for successfully defending their doctoral theses and thus for finishing the doctoral program at TU Graz with distinction

The entire team of IEAN wishes you all the best on your future journey. We are looking forward to meet you both again soon!
You can find the published doctoral theses in the section Theses
https://www.tugraz.at/institute/iean/abschlussarbeiten/dissertationen/#c237190
The "Hardware-in-the-Loop Test System" project is the first application of a new type of test and validation procedure for faster marketability of grid-compatible inverters for their manufacturers and developers.
The project approval meeting of our international cooperation project with Shanghai Dianji University was successfully held in an online meeting on June 10, 2021. The project was based on a hardware-in-the-loop test system to study test equipment, test methods and test procedures for grid compliance of wind power system. The meeting was chaired by Prof. Guochu Chen from the Dianji University and was attended by several Chinese experts, as well as experts from IEAN, including Prof. Robert Schürhuber and Prof. Lothar Fickert, as well as Dr. Ziqian Zhang and Carina Lehmal BSc. Dr. Zhang and Ms. Lehmal presented the results of the project to the Chinese side.
The Chinese experts expressed their satisfaction with the results of the project and pointed out that the proposed methodology in the project can significantly shorten the testing and certification period for wind power system. The project was successfully approved.

Ziqian Zhang
On May 12th 2021 a coronal mass ejection (CME) from May 9th 2021 arrived during noon at the Earth. Causing increased transformer neutral point current variation with current amplitudes up to 13.8 A.

The CME was detected at the Lagrange point L1 at 2021-05-12 5:48 UTC. L1 is located between the Earth and the Sun. The solar wind speed increase from 210 km/s to 450-490 km/s.
Source: https://kauai.ccmc.gsfc.nasa.gov/CMEscoreboard/
The IEAN team of Herwig Renner, Philipp Schachinger and Dennis Albert are investigating the effects of geomagnetically induced currents (GIC) on the high-voltage transmission grid in Austria together with the APG and Siemens Energy. For more information on geomagnetically induced currents (GIC) in Austria klick on our website: www.tugraz.at/institute/iean/forschung-dienstleistungen/versorgungsqualitaet-und-versorgungssicherheit/niederfrequente-sternpunktstroeme/
Dennis Albert, Philipp Schachinger
Hundred-meter-high wind towers rise above the banks of the Danube and endless photovoltaic panels cover the plains, constantly feeding green energy into the grid. Their stable operation is essential for economic development and for ensuring our quality of life.
Recently, IEAN's PHIL lab was taken into full operation. The PHIL lab's experimental equipment replicates real electrical and mechanical systems to evaluate the stability performance of plants and grids with a high percentage of renewable energies. For this purpose, stability mechanisms need to be investigated and defined in a new way. The results provide theoretical foundations and recommendations for product improvements for manufacturers and a reliable assessment for grid operators.
Using our PHIL lab, we have investigated the fault dynamic behavior of embedded HVDC lines as well as full-scale converters for wind and PV systems. (See links for details) Furthermore, we investigated the stability of large industrial PV projects.
The research results have already been incorporated into a number of projects and serve as a key technology for the safe operation of green energy grids.

Links:
Advanced-automated-emergency-control-strategy-for-embedded-vsc-hvdc-links
Study of stability after low voltage ride-through
Ziqian Zhang
See our poster presentation during the online Space Weather Workshop 2021, where we from IEAN and ZAMG present our current research results about geomagnetically induced currents (GIC) and space weather prediction in Austria.
Rachel L. Bailey from ZAMG talks about geolectric field prediction in Austria. Philipp Schachinger and Dennis Albert talk about GIC simulation and measurement in the Austrian power grid, as well as power transformer research.
Join us on the poster session on April 22nd from 5 – 6:30 PM EDT (23:30 MEZ) on Webex https://tugraz.webex.com/tugraz-de/j.php?MTID=m050997056d2e2d903bc3dc008618ddea.
A short overview presentation can be found on our Youtube channel youtu.be/uRB5Bca73p8
Thanks to Siemens Energy and Austrian Power Grid for your support!
Dennis Albert
The Institute of Electrical Power Systems from the Technical University of Graz (IEAN) started a cooperation with the University of Strathclyde from Glasgow in the field of converter coupled systems. We found a large overlap in future research areas despite the partly different circumstances due to geography (off-shore wind power plants vs. large hydropower plants). Here, the integration of converter-fed generation systems and the corresponding stability studies are particularly of interest. Due to the joint research focus we can learn a lot from each other and there is a high interest to enhance the cooperation in the future. For this purpose, there will be regular online meetings and as soon as possible also a personal visit will be aimed.
Another technical exchange took place on 8.4.2021 with Prof. Holger Wrede with his research group "Power Electronic Energy Systems" at the University of Applied Sciences Düsseldorf. With the research focus on plant control, system management and dynamic behavior of power-electronic-dominated electrical energy systems, we complement each other in many aspects and will keep in contact.


Philipp Hackl
On March 15th the 7th transformer neutral point current measurement system from IEAN, TU Graz was installed in the Austrian transmission grid of APG at the substation ‘Westtirol’. These transformer neutral point current measurement in the Austrian transmission grid are used to study geomagnetically induced currents (GIC) and their effects on power transformers. The currents in the western area of Austria are expected to be higher than the currents in the eastern part, due to the rocky soil in this part of Austria. The already measured current support this hypothesis.
Thanks to the APG team at the substation ‘Westtirol’ for your support! Also thanks to our project partners Austrian Power Grid and Siemens Energy for your support in our joint research project Nf-Sternpunkt 2.
More information:
https://www.tugraz.at/institute/iean/forschung-dienstleistungen/versorgungsqualitaet-und-versorgungssicherheit/niederfrequente-sternpunktstroeme/
Dennis Albert
In a new episode of ARTEs Xenius series, Prof. Renner was again shown to explain the influence of solar storms on power grids. The shooting for this took place in February 2020, among others at the Conrad Observatory near Vienna (earlier news).
The episode is online available in German and French until May 5, 2021:
https://www.arte.tv/de/videos/092141-011-A/xenius-sonnenstuerme
Philipp Schachinger
...the Christmas party is a fixed point on the calendar of the Institute of Electrical Power Systems (IEAN). Following this year's motto that "special times require special measures", we decided to hold our pre-Christmas get-together in 2020 virtually. Prof. Schürhuber summarised the smaller and larger highlights of the institute's year in his speech, the entire IEAN choir sang their way into the Advent season together, a virtual room escape game challenged the brain cells and one or two recited poems rounded off the event. Nonetheless, we are all already looking forward to when the social distance finally can be reduced to a good level and we can sit together again in the usual way.
The IEAN wishes all its friends and their loved ones a Merry Christmas and a Happy New Year 2021!
In close cooperation with the IHS of Graz University of Technology, the IEAN carried out the final earthing measurement of the new Murkraftwerk Graz Puntigam. The aim of the measurement was to check the earthing, equipotential bonding and lightning protection system of the power plant, which is already in full operation.
IEAN and IHS accompanied the project Murkraftwerk Graz Puntigam from the very beginning with regard to the earthing, equipotential bonding and lightning protection system. In cooperation with the planners, a special earthing and lightning protection concept was developed for this power plant, which ensures the protection of persons, animals and property.
In close cooperation with IHS, IEAN carried out the final measurement of the earthing system of the new substation Villach Süd. The 220/110 kV Villach South substation is designed as an outdoor switchgear, serves as a grid support and is intended to contribute to the continued reliable supply of electricity in the Villach area. IEAN and IHS were involved in the project from the very beginning and contributed important aspects regarding the earthing and equipotential bonding and lightning protection system to the conceptual design of the substation. The aim of this measurement was to check the effectiveness of the earthing, equipotential bonding and lightning protection system to ensure the protection of persons, animals and property. Furthermore, the measurement results serve to verify the calculations of the earthing, equipotential bonding and lightning protection system of the Villach Süd substation carried out at IEAN.
The Institute of Electrical Power Systems has an annual institute hiking day to strengthen the team spirit and improve the work climate. This year, on 29 September 2020, it took us to the Rote Wand in Tyrnau, where we found great hiking weather and a wonderful view.
We started at 8:00 a.m. from the institute in the direction of Tyrnau, where a COVID19-compliant group picture was taken at the Rote Wand parking area, before we started the uphill hike towards the summit cross.

On the way, close to the summit cross of the Rote Wand, we spotted wild ibexes. Without being shy and completely in harmony with the beautiful surroundings, our institute director was able to get a little closer to the wild animals.

Arriving at the summit cross we enjoyed the great view which reaches from Hochschwab, Murtal, Gleinalm, Koralm to Schöckl. On the return, we stopped at the Tyrnaueralm Hut at 1350m to get some refreshment after the exhausting ascent. After a total of about 5 hours we reached the car park again and started our journey home.

Manuell Galler
AirCampus is a podcast platform of the four universities of Graz for science communication. In the course of the podcast series at Graz University of Technology, there is now an article about IEAN. In the talk, which lasts about 3 minutes, the research topic of geomagnetically induced currents and their influence on the energy transmission grid is outlined.
https://www.aircampus-graz.at/podcasts/sonne_strom/
Philipp Schachinger
The increasing number of scientific journals, technical literature and theses in the inventory of the Institute of Electrical Power Systems required a new structuring of the institute library. The outdated archiving system was replaced by the centrally administered library system of Graz University of Technology. Thus, in addition to books, all diploma and master theses, dissertations and habilitations have been added to the inventory system of the library of Graz University of Technology. During the following reorganization of the institute library, some treasures were rediscovered.
Die Lange Nacht der Forschung (LNF) ist einzigartig. Sie ist das größte Event für Wissenschaft und Forschung im deutschsprachigen Raum. Alle 2 Jahre werden an einem Abend in ganz Österreich innovative Erkenntnisse und bahnbrechende Technologien für ein breites Publikum zugänglich gemacht.
Dieses Jahr findet die LNF ausschließlich online statt. Von 9.10.2020 bis 30.10.2020 sind über 600 Beiträge aus ganz Österreich online abrufbar.
Auch das Thema Sonnenstürme, mit deren Auswirkungen sich Bachelor- und Masterarbeiter sowie zwei Dissertation am IEAN beschäftigen, wird in zwei Beiträgen näher beleuchtet.
Sonnensturm: Wann kommt der nächste?
Quelle: www.langenachtderforschung.at
The grid restoration strategy after large-scale blackouts in Austria focuses on hydro power plants in Salzburg and Carinthia. The management of the grid restoration is not only trained on the simulator, but also regularly tested on the real grid through black start and island grid tests. On September 18, 2020, such tests were carried out by KELAG and Kärnten Netz with the Fragant power plant group. The Institute for Electrical Power Systems (IEAN) accompanied these tests as a scientific partner, carried out part of the measurements and took over the evaluation of the measurement data.
Changes in the Earth's magnetic field can cause unwanted low-frequency currents in our electrical transmission grid. These currents flow through grounded transformer star points. In a joint research project with the Austrian transmission grid operator APG and Siemens, IEAN measures these low-frequency currents, also known as geomagnetically induced currents (GIC).
In order to be able to measure these currents also in case of future geomagnetic disturbances (GMD), the hardware of some measuring devices was updated on September 23rd and 24th, 2020. IEAN would like to thank the APG staff who supported us with the maintenance.
Arte-Documentation: Solar storms and geomagnetically induced currents
On Saturday, 8 August 2020 at 21:45 Arte will broadcast a documentary on solar storms and geomagnetically induced currents. The IEAN team led by Prof. Herwig Renner is investigating the effects of solar activity on the power grid as part of the Low Frequency currents project.
The shooting for this took place in February 2020, among others at the Conrad Observatory near Vienna (earlier news).
Link to the documentation: https://www.arte.tv/de/videos/086943-000-A/sonnenstuerme-die-raetselhafte-gefahr/
Philipp Schachinger, Dennis Albert
Our IEAN Jour Fixe was held every 14 days since 23.03.2020 COVID-19 using our video conferencing tool. Since we could not hold our first personal Jour Fixe after almost 4 months in our institute library due to the still valid rules of distance, this short meeting was moved to the lecture hall i1.
#spacing
#stay healthy
Daniel Herbst
We congratulate the two former master students Andreas Prohammer and Tobias Wöhr for successfully defending their master thesis at IEAN. Both exams were taken via video conference, which has become routine by now.
In his master thesis Andreas Prohammer examined the behaviour of power transformers under asymmetrical DC in the phases of the high and low voltage windings.
In Tobias Wöhr's master's thesis, the behaviour of a synchronous generator and the surrounding grid in the event of a short circuit is examined.
The IEAN team congratulates to your successfully defended master thesis and whises you all the best for your future path. We are looking forward to seeing you again soon!
You can find open bachelor and master theses in the teaching section.
Dennis Albert
Graz University of Technology and the Faculty of Electrical Engineering and Information Technology mourn the death of Dipl.-Ing. Dr.techn. Manfred Wurm, who died on 6 April 2020 at the age of 59.
Manfred Wurm was born on 17 June 1960 in Vienna. After completing his education at the Secondary Technical School Vienna 4, he studied electrical power engineering at the TU Wien, which he completed “with excellency”.
In 1997 he passed the examination to be an acknowledged engineering consultant. In the following year he was granted the status of chartered engineering consultant for electrical and electronic engineering, and shortly afterwards he received the certificate of competence for the operation of an engineering consultancy office for electrical engineering.
Manfred Wurm began his professional career at Elin Union AG with the development of high voltage switchgear. From 1992 to 2000 he carried out various planning tasks as legally responsible director for Umwelttechnik Wien GmbH. He then worked at Cegelec GmbH as a project manager and authorized representative for electrical plant construction, before joining Netz Niederösterreich GmbH, where he developed protection concepts and project planning guidelines for network engineering. In addition, he found time and energy for commissioning activities, fault analyses and coaching activities in the network planning department.
In the academic field, his dissertation with the title “Comparison of methods for determining fault location distance for single-pole fault detection in practical grid operation" is proof of his restless practice-based research interest, which he completed at the Institute for Electrical Power Systems at our Technical University in 2013. His teaching activities at technical universities included guest lectures at Graz University of Technology and TU Wien and - since 2014 - he has been a university lecturer in protection technology, for which he was even nominated for the Best Lecture Award of TU Wien in 2017.
With Manfred Wurm, Graz University of Technology has lost a highly esteemed colleague and popular lecturer. Our condolences and sympathy go to his wife and family.
Lothar Fickert
In the past few days, despite the currently difficult circumstances, five students have successfully completed their Bachelor's or Master's thesis at IEAN.
Congratulations to Benjamin Jauk, Abedin Bytqi, Matthias Rüschitz and Konstantin Tschabuschnig for successfully defending their master thesis. Congratulations also to Peter Wohlfart on the successful completed his Bachelor thesis.
The IEAN wishes you success in your future professional life or in your further studies. You are cordially invited to visit the IEAN again in the future - we always look forward to see you again!
Despite the current circumstances, it is possible to start your Bachelor's or Master's thesis at the IEAN. You can find our currently advertised work on the website. If there is nothing suitable, please contact us by phone or e-mail.
In the course of filming a documentary on the topic of geomagnetically induced currents in Austria, the IEAN was invited to the Conrad Observatory. Prof. Renner presented our simulation tool in the tunnel and explained the activities of IEAN in this area and the importance of the entire research area.
In January 2020, IEAN installed another measuring device for recording low-frequency neutral point currents in the Austrian transmission grid. In a joint research project with APG and Siemens, the influence of low-frequency neutral point currents on power transformers and the transmission grid is being investigated. These currents are influenced, for example, by changing solar activity and are therefore also called geomagnetically induced currents (GIC). Thanks to APG and Siemens for their support!
In the pre-Christmas season 2019, the Institute of Electrical Power Systems measured the behavior of the earthing system at a 380 kV substation, located directly next to an electrified railway. The reason for this is the extension of the railway and the construction of a pedestrian crossing. The measurement results serve as a basis for the calculations, on which results the earthing systems of the future installations will be dimensioned in such a way that, after integration into the existing earthing system, the protection of persons and property can be guaranteed both in normal operation and in the event of a fault.
On 16 and 17 of October the OVE Energy Technology Conference took this year place in Innsbruck. These conferences are an annual fixture for national and international representatives of the energy technology industry. At this event, experts from the economic sector, energy companies and researchers have met at the Innsbruck Trade Fair Centre to present and discuss current topics related to electrical energy storage and storage systems, sector coupling (Power-to-X), flexibility options as well as the reliability of the power supply.
During the evening event, the OVE Energy Technology Award for young scientists and technicians was presented. The prize is awarded to pupils, students and graduates of Austrian educational institutions. This year the master thesis of IEAN graduate DI Manuel Galler was awarded. Mr. DI Galler was invited to present his excellent work during the OVE symposium.
The arcing fault in a transformer station is rare, but when it does occur, large amounts of energy are released in a short time. It is therefore important that the safety of people and the stability of the building structure can be guaranteed in this exceptional case. At the end of 2019, the IEAN and IES Institute for Electrical Engineering and Safety Civil Engineering GmbH collected measurement data during arcing type tests, which will improve the future calculation and evaluation of pressure loads in transformer stations.
The video shows the successful verification of the operating safety in slow motion. The arc is ignited in the medium-voltage switchgear on the left side of the station building.
On 13th / 14th November, the second technical colloquium of energy technology took place at the Institute for Electrical Power Systems at the TU Graz.
Prof. Bernd Oswald from Hannover, Prof. Peter Schegner from Dresden, em. Prof. Lothar Fickert from Graz and Prof. Lutz Hofmann from Hannnover, discussed with Prof. Robert Schürhuber and Prof. Herwig Renner from the IEAN current developments in the field of energy technology and exchanged views on research results. Furthermore, the Grazer culture and gastronomy could impress the guests.
At the beginning of the week, on 30.09.2019, IEAN visited the Siemens transformer plant in Linz. In addition to a project meeting, the students and employees of the IEAN had the opportunity to visit the plant in Linz. At the Linz location, each transformer is developed and produced individually for the special applications of the customers. From core layering to acceptance testing, all process steps are carried out at the site in Linz.
The IEAN met on the 23.09.2019 in the Wachau in order to set the course for a successful future of the institute. Under the excellent leadership of Bernhard Ibertsberger, a lively discussion about the challenges and goals of the institute developed in the morning, which was dealt with in detail after lunch in small groups.
The second day was completely devoted to energy engineering with the visits of the nuclear power plant Zwentendorf and the substation Dürnrohr. The Zwentendorf NPP is worldwide unique, because it has never been in service. Therefore, areas of the reactor can be inspected which are normally not accessible due to radiation exposure even after shutdown. Thus, a direct view into the pressure vessel of the boiling water reactor and the committing of the containment is possible.
The second day was completely devoted to energy engineering with the visits of the nuclear power plant Zwentendorf and the substation Dürnrohr. The Zwentendorf NPP is worldwide unique, because it has never been in service. Therefore, areas of the reactor can be inspected which are normally not accessible due to radiation exposure even after shutdown. Thus, a direct view into the pressure vessel of the boiling water reactor and the committing of the containment is possible.
After extensive restoration work, a model of a Francis turbine can now be seen in front of the rooms of the Institute of Electrical Power Systems.
Many thanks to ANDRITZ HYDRO GmbH for providing the turbine model and many thanks to the IHS mechanical workshop (Anton Schriebl and Christoph Probst) for built-up the metal substructure.
Prof. Schürhuber, DI D.Herbst, DI M.Fürnschuß
In the period from 20 August to 30 September 2019, the Institute of Electrical Power Systems was represented by four academics at Tongji University in Shanghai. During the first week, Prof. Dr. Schürhuber, the institute's head, held a special lecture on " From Energy Turnaround to Challenges for High Penetration of Renewable Energy ". Further lectures were given by Em. Prof. Dr. L. Fickert and Dr. Ziqian. Furthermore, Mr. Alexander Atzmueller supported the Institute for Rail Transit in the sense of deepening the scientific cooperation by evaluating technical literature regarding the reliability of the power supply in the metro area.
Zigian Zhang
On 21.06.2019 we received a delegation of the Chinese Ministry of Science and Technology at our institute. The high-ranking delegation of representatives of the government and the automotive industry visited the laboratory facilities of our Institute of Electrical Power Systems, the laboratory of the Electrical Drives and Machines Institute as well as the Nikola Tesla Laboratory of the Institute of High Voltage Engineering and System Performance. The trip of our Chinese partners focused on the latest scientific findings in the field of electric drives, alternative fuels and e-mobility. Our institute presented in the course of its projects around electrical safety as well as protection against electric shock at DC charging stations for electric vehicles.
Ziqian Zhang and Daniel Herbst
With the signing of the cooperation agreement on 24.06.2019 a new era of cooperation between the Faculty of Electrical Engineering of Shanghai Dianji University and the Institute of Electrical Power Systems of Graz University of Technology has started. The two institutions, represented by Vice Rectors H.Bischof and D. Chen, our dean W.Bösch and professors R. Schürhuber and G. Chen, jointly unveiled a plaque in front of our institute expressing the university exchange. In addition to interesting discussions between the delegation participants and the representatives of Graz University of Technology, various laboratory facilities were also visited. We are already looking forward to a long-term partnership with our Chinese colleagues, for example in projects in the institute's own Power Hardware-in-the-Loop laboratory in the field of renewable energies.
Ziqian Zhang and Daniel Herbst
On 27.05.2019 we had again the opportunity to carry out an excursion to the thermal power plant Mellach of the Austrian Thermal Power Association as part of the lecture Electrical Energy Systems 2.
During this excursion, we were able to visit the coal-fired power station, the gas and steam power plant, the control room and the switchgear and receive detailed explanations on function and operation. We also got an interesting insight into the current driving style of thermal systems, which are strongly influenced by redispatch.
In sum, this excursion was an ideal complement to the lecture, in which the theory of thermal power plants was discussed in advance.
The biggest conference and exhibition on electricity distribution was held in Spain from 3rd-6th of June 2019. The institute of electrical power systems was part of the conference with 6 participants, 7 publications – therefrom 4 as oral presentation - one tutorial presenter and one special reporter and roundtable-convenor.
participants: Robert Schürhuber, Lothar Fickert, Herwig Renner, Katrin Friedl, Daniel Herbst, Mike Lagler
In deep sadness, we announce that Univ.-Lecturer Dr. Manfred Sakulin, retired associate professor, passed away.
Manfred Sakulin began working at the Institute of Electrical Power Systems of Graz University of Technology in 1970 and decisively influenced the profile of the institute, which he led temporary from 1997 to 1999, until his retirement in 2007. Many of the areas of work and activities represented at the institute were initiated and built up by him. More than 100 diploma theses and dissertations supervised by him give evidence of his long-lasting influence on the Austrian power system community. A huge number of today's decision-makers in the electrical energy industry has attended the lectures and exercises of Manfred Sakulin.
He was a nationally and internationally recognized expert in the field of electrical energy systems and is known in particular as a pioneer of flicker measurement. His work and expertise in this field has been acknowledged all over the world, including countries such as Saudi Arabia and India.
Although he created the basis for various standards by his work in numerous committees and working groups, for him ultimately not the written norm, but common sense was the basis for his decisions.
In addition to his scientific work, he was involved in the Assistant Curia and worked for many years as representative of the non-tenured staff in the faculty of Electrical Engineering. The institute trips organized by him into his beloved Styrian mountains were incomparable.
Dear Manfred, we will not forget you, may you rest in peace!
Herwig Renner
As a driving force for the changes in the energy sector, Prof. Robert Schuerhuber cites our rising consumption and mainly carbon-based production of energy. Due to the previous handling of raw materials, humans action influences the earth ecosystem more and more negatively. In order to counteract this negative trend, the electrical energy supply plays a key role. Due to the versatile usability, for example, in the area of mobility, air conditioning and heat engineering, resources can be used more effectively. The Institute of Electrical Power Systems do research for example in the field of sector coupling and in the planning and operation of large networks.
After the inaugural lecture, numerous guests from industry, families and universities discussed in a pleasant atmosphere in the foyer of the Energy Center Graz.
In October 2017, Prof. Robert Schuerhuber took over the Institute of Electrical Systems from Prof. Lothar Fickert. In order to highlight the current and future research activities in the field of energy networks, the institute bears the name "Institute of Electrical Power Systems". The three core competences of the institute lie in the areas of
Power system field trip of the IEAN to Carinthia
On 28.01.2019, a field trip brought students and staff members of IEAN to Carinthia. There, the participants got insights into the hydro power plant Schütt 2 of KELAG and into the heating plant of Stadtwerke Klagenfurt AG. Between the two power plant tours, the participants visited the substation Landskron of Kärnten Netz GmbH.
The field trip to Carinthia started at 6:30 AM with the departure at the TU Graz. When we arrived at the Schütt 2 power plant, we were welcomed by three KELAG employees. The power plant Schütt 2 is currently under revitalizing work, whereby the aging power plant infrastructure will be replaced by new technology. The heart of the hydroelectric power plant is its turbine and generator unit. During the visit, the already installed turbine and hydro system could be subdued from the inside of the turbine housing, which is not accessible under operation. After a refreshment, the dam was visited, which is located about 3 km upstream.
The next station led to the completely renewed 110-kV-substation Landskron, an important grid node of the Carinthian distribution network. After a brief presentation on the general operation management and safety instructions, the substation was visited. Special focus was laid on the high voltage equipment and the emergency battery system. After the guided tour through the substation, the cable measuring truck used by the KNG was demonstrated and it was possible to have an intensive discussion with the responsible technicians.
The last stop of the field trip was to the district heating plant of Stadtwerke Klagenfurt, the central hub of the Klagenfurt district heating network and the location of the energy control center of Stadtwerke Klagenfurt. Until the turn of the millennium, a coal-fired combined heat and power plant (CHP) was operated at the site. After decommission of the CHP plant, modern gas boilers were put into operation to ensure the supply of the city with district heating. During the dismantling of the old steam power plant, the 70-year-old brick-built boiler and a partially dismantled turbine-generator were obtained.
Strengthened by a final snack and with many interesting insights and impressions we went back to Graz. Many thanks to the companies and their representatives for the interesting tours and discussions and to Stefan Polster for the organization of the field trip.
The last stop of the field trip was to the district heating plant of Stadtwerke Klagenfurt, the central hub of the Klagenfurt district heating network and the location of the energy control center of Stadtwerke Klagenfurt. Until the turn of the millennium, a coal-fired combined heat and power plant (CHP) was operated at the site. After decommission of the CHP plant, modern gas boilers were put into operation to ensure the supply of the city with district heating. During the dismantling of the old steam power plant, the 70-year-old brick-built boiler and a partially dismantled turbine-generator were obtained.
Graz University of Technology
Institute of Electrical Power Systems
Inffeldgasse 18/I
8010 Graz
Austria
+43 316 873-7551
office.iean@tugraz.at