News

  Probing the core of MOFs

In the framework of the TU Graz lead project “Porous Materials@Work” research tackling the question whether only the surface or also the inner parts of luminescent metal-organic frameworks (MOFs) crystals are available for photochemical transformations was conducted. This research now resulted in a publication in Journal of Materials Chemistry C. Tobias Burger and coworkers prepared core-shell and multivariant MOFs of the PCN-224 type using metal-free, fluorescent and platinated, phosphorescent porphyrin ligands. Probing these MOFs with luminescence quenching upon exposure to oxygen reveals efficient gas transport into core of the MOFs. Above that, the mixed luminescent MOFs are characterized by undesirable energy transfer processes resulting in diminished contribution of the phosphorescence component in all MOFs including both ligands within the same crystals. Only the physical mixture of MOF-crystals individually prepared from the fluorescent and the phosphorescent porphyrin allows for fostering the full oxygen-sensing potential of these materials.

  Porosity in optical oxygen sensing

PM@W researchers Irene Dalfen and Sergey Borisov provided a review article on porous matrix materials for luminescent oxygen indicators. These matrices include silica-gels, sol–gel materials based on silica and organically modified silica (Ormosils), aerogels, electrospun polymeric nanofibers, metal–organic frameworks, anodized alumina, and various other microstructured sensor matrices. The influence of material structure and composition on the efficiency of oxygen quenching and dynamic response times are compared and the advantages and disadvantages of the materials are summarized to give a guide for design and practical application of sensors with desired sensitivity and response time.

  Ordered honeycomb-structured CuInS2 films

The large surface-to-volume ratio and the huge surface area of an ordered nanostructure is essential for improving the performance of many metal sulfide-based technologies within energy conversion and storage, but also catalysis and sensing. Although, several routes toward the formation of nanostructured metal sulfide thin films have been already developed, their fabrication is still challenging. Recently a team of Porous Materials@Work researchers presented a novel method for the preparation of honeycomb-structured CuInS2 thin films via a nanosphere colloidal lithography technique. Monodisperse polystyrene nanosphere layers, formed by a self-assembly approach at the air/liquid interface, were used as template. Infiltration of the template with metal xanthates followed by their thermal conversion to CuInS2 and the thermal removal of the polymeric template leads to ordered honeycomb-structured films.

  Influence of Precursor Density and Conversion Time on the Orientation of Vapor-Deposited ZIF-8

Porous Materials@Work researchers together with scientists from KU Leuven synthesized ZIF-8 by subjecting ZnO thin films deposited via plasma-enhanced atomic layer deposition to a 2-methylimidazole vapor. The impact of the conversion time as well as the density and thickness of the ZnO precursor on the resulting ZIF-8 layers were investigated with Grazing Incidence X-ray diffraction. For instance it was found that the final thickness of the ZIF-8 layer depends on the thickness and density of the precursor layer, and can be up to 15-fold higher than the precursor thickness. For further results have a look to the corresponding publication.

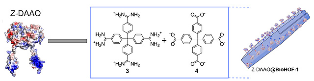
  Highly efficient biocomposites by combining a genetically engineered oxidase with hydrogen-bonded organic frameworks

Enzymes incorporated into hydrogen-bonded organic frameworks (HOFs) via bottom-up synthesis are promising biocomposites for applications in catalysis and sensing. In a recent contribution to Angewandte Chemie, researchers from Porous Materials@Work and the University of Adelaide present the synthetic incorporation of D-amino acid oxidase (DAAO) with the metal-free tetraamidine/tetracarboxylate-based BioHOF-1 in water. The DAAO@BioHOF-1 composites showed superior activity with respect to every reported carrier for the same enzyme and excellent stability during catalyst recycling. Further, extension to other enzymes, including cytochrome P450 BM3 (used in the production high-value oxyfunctionalized compounds), points to the versatility of genetic engineering as a strategy for the preparation of biohybrid systems with unprecedented properties.

  Modeling of Pore Formation in a Bainitic Steel During Creep

In the field of power engineering, where materials are subjected to high pressures at elevated temperatures for many decades, creep-resistant steels are put to work. Their service life is still, however, finite, as the many changes in their microstructure can merely be mitigated and not avoided. Creep cavitation is one of those changes and, in many cases, ultimately causes failure by rupture. In a recent work, researchers from the Institute of Materials Science, Joining and Forming propose a model to simulate the nucleation and growth of cavities during creep. The model predicts qualitatively the shape and prevalence of cavities at different sites in the microstructure, and quantitatively the number density, size of cavities and their phase fraction contributing to a reduction in density.

  Zinc sulfide thin films with tunable nanoporosity

Metal xanthates are widely used as single-source precursors for the formation of metal sulfide thin films. In this study, many key and associate researchers from Porous Materials@Work joined to explore the length of the alkyl ligand as an efficient tool to control the formation and the nanoporosity of zinc sulfide thin films. The presented approach allows to prepare highly porous thin metal sulfide films with potential applications in photocatalysis, whereby the nanoporosity is significantly enhanced with an increasing number of carbons in the alkyl chain of the metal xanthate precursors. To gain knowledge about the mechanisms leading to the changes in the nanoporosity, the thermal conversion process toward the porous films is studied in detail. Thereby, researchers found that the structural changes during the early stages of the conversion process, which are distinctly influenced by the decomposition temperature of the metal xanthates, different growth regimes of the nanocrystals, and a mesophase formation, governed by the properties of the decomposition products of the metal xanthates, are mainly responsible for the changes of the structural properties and the nanoporosity of the final ZnS films.

  Porphyrin based MOFs: Quasi matrix-free optical oxygen sensor materials with exceptional sensitivity in the gas phase

Researchers from the lead-project demonstrated in their recent paper in Journal of Materials Chemistry C that properly designed metal-organic frameworks are particularly useful to exploit the full potential of oxygen sensitive luminescent indicator dyes. By studying the optical oxygen sensing capabilities of the porphyrin-based metal-organic frameworks, PCN-224, Pt(II)PCN-224 and Pd(II)PCN-224 in the gas phase particularly high bimolecular quenching constants were found. The high sensitivity of the MOF crystals is above all attributed to the fact that they are luminescent in bulk, i.e. dye molecules do not quench each other when confined in the investigated MOF architecture. Accordingly, no matrix, which usually reduces the sensitivity, is necessary to separate the dye molecules. In order to take full advantage of such quasi matrix free oxygen sensor crystals in building optical oxygen sensors the researchers demonstrated a composite material that was prepared by growing the MOFs on fibrous substrates. Among the all substrates investigated electrospun polyacrylonitrile fibers proved to be the best support giving sensor pads of very similar sensoric characteristics as the free crystals.

  Materials for Optical Oxygen Sensing under High Hydrostatic Pressure

In order to provide optical trace oxygen sensors useful for investigating oxygen minimum zones in the oceans, optical oxygen sensors based on indicators immobilized into porous and nonporous matrix materials were investigated in regard to their sensing behavior under high hydrostatic pressure. Researchers from Porous Materials@Work found in their latest paper in Sensors and Actuators B: Chemical a systematic underestimation of oxygen concentration at elevated hydrostatic pressure and a linear correlation of the concentration on hydrostatic pressure in the investigated range allowing for a straightforward correction. Most importantly, the investigated porous sensor materials show high stability up to at least 200 bar hydrostatic pressure. This result constitutes an important information for the realization of commercially available optical trace oxygen sensors.

  Processing oriented metal–organic frameworks as thin films

Researchers from Osaka Prefecture University, University of Adelaide and TU Graz disclosed a semi-automatic method for the fabrication of precisely oriented MOF films that affords a 100% yield of high quality ceramic films at the centimeter scale. The results published in Advanced Materials Interfaces will facilitate the progress of heteroepitaxially grown MOFs for molecular separators and micro-optoelectronic devices, because processing oriented MOFs as thin films is a key challenge for their application to device fabrication.

  Understanding the Anisotropic Elastic Properties of MOF-74

The Zojer group presents an in-depth, “nanoscale” discussion of the elastic properties for the prototypical class of MOF-74 derivatives in J. Phys. Chem. C.
They go beyond solely reporting macroscopic parameters and trace their values back to atomistic displacements under stress employing state-of-the-art dispersion-corrected density functional theory. Interestingly, all of the studied MOFs exhibit qualitatively different responses to either unidirectional or isotropic stress, which can be ascribed to distinctly different atomic rearrangements for stress parallel or perpendicular to the channel direction. They also show that the details of these atomistic motions impact the structure-to-property relationships for a variety of MOF-74 variants beyond the expectations based on bonding strengths and the degree of porosity.

  Phonon Band Structures of Hydrocarbon-Based Organic Semiconductor Crystals

By studying the low-frequency phonon bands of the series of crystalline acenes, the latest article by Kamencek and Zojer lays the foundation for the development of structure-to-property relationships for phonon in organic semiconductors. Joining state-of-the art quantum-mechanical simulations with simple classical models, they explain how and why phonon frequencies and group velocities do or do not change when varying the molecular and crystal structures of the materials.

  P. Falcaro became Associate Editor of the Chemical Engineering Journal

The Chemical Engineering Journal published by Elsevier focuses upon three aspects of chemical engineering: chemical reaction engineering, environmental chemical engineering, and materials synthesis and processing. Chem. Eng. J. is one of the most prestigious journals in the category Engineering, Chemical.

  Poster Prize for Tomas Kamencek

The EuroMOF2021, an international conference on metal-organic framworks and porous polymers, was organized as an online event between September 13 and 15. Among the 195 poster presentations of participants from 41 (also non-european) countries, Tomas Kamencek was awarded a poster prize for his work on understanding the anisotropic elastic properties in variants of MOF-74. The study, which was recently accepted by the Journal of Physical Chemistry C, shows that atomistic insight in the deformation mechanisms in MOFs is crucial to interpret the variations in the elastic properties upon changing the building blocks of the MOF and to establish structure-to-property relations.

  Porous materials with built-in electric fields

A team of researchers from Karlsruhe Institute of Technology, Tata Institute of Fundamental Research Hyderabad, RWTH Aachen University and Egbert Zojer from TU Graz disclosed a work demonstrating the scope of porous, crystalline molecular materials that lack inversion symmetry. The quasi-epitaxial growing of asymmetric, dipolar organic compounds on inorganic substrates, permits access to porous materials with built-in electric fields. Changes in electrostatic potential are detected via core-level shifts of marker atoms on the MOF thin films and agree with theoretical results. The integration of built-in electric fields into organic, crystalline, and porous materials creates possibilities for band structure engineering to control the alignment of electronic levels in organic molecules. Built-in electric fields may also be used to tune the transfer of charges from donors loaded via programmed assembly into MOF pores. Applications include organic electronics, photonics, and nonlinear optics, since the absence of inversion symmetry results in a clear second-harmonic generation signal.

  Maximizing the carrier mobilities of MOFs

Charge transport properties of metal–organic frameworks (MOFs) are of distinct interest for (opto)electronic applications. In contrast to the situation in molecular crystals, MOFs allow an extrinsic control of the relative arrangement of π-conjugated entities through the framework architecture. This suggests that MOFs should enable materials with particularly high through-space charge carrier mobilities. Such materials, however, do not yet exist, despite the synthesis of MOFs with, for example, seemingly ideally packed stacks of pentacene-bearing linkers. Their rather low mobilities have been attributed to dynamic disorder effects. Using dispersion-corrected density functional theory calculations, Egbert Zojer and Christian Winkler suggest in their recent paper that this is only part of the problem and that targeted network design involving comparably easy-to-implement structural modifications have the potential to massively boost charge transport. For the pentacene stacks, this is related to the a priori counterintuitive observation that the electronic coupling between neighboring units can be strongly increased by increasing the stacking distance.

  P. Falcaro distinguished

Inspirational Committee Award from the RSC as part of their Volunteer Recognition Awards, 2021 was offered to the RSC Porous Materials Group for the creation and development of a cohesive porous materials community.
The Porous Materials Group (PMG) is a Royal Society of Chemistry member-led interest group. Set up in 2018, its aim is to bring together scientists across all career stages working in porous materials and to foster links between academia and industry. Porous materials contribute hugely to society, and are used in many different applications, such as ion exchange, purification, catalysis, and moisture removal to name a few. Types of materials include zeolites, polymers, metal-organic frameworks, cages and covalent-organic frameworks. The distinguished committee comprises T. D. Bennett, R. S. Forgan, A. Laybourn, J. A. Gould, T. Easun, T. Düren, D. Bradshaw, T. Johnson, M. Jorge, E. Vermorel, R. Dawson, M. Addicoat, I. Ahmed, L. Macreadie, A. Katsoulidis and P. Falcaro.

  Surface charge control in nanoporous gold

Elisabeth Hengge from PMW’s P10 and colleagues investigated the electrochemical behavior of nanoporous gold modified with self-assembled monolayers with regard to its point of zero charge and proton transfer reaction. Due to their high surface-to-volume ratio and conductivity, nanoporous electrodes represent promising materials for numerous applications, including the immobilization of biomolecules in biotechnology and biosensing. The recently disclosed research now contributes towards the fundamental understanding of such electrodes.

  Marianne Kräuter received the ALD 2021 Student Finalist Award

The AVS 21st International Conference on Atomic Layer Deposition (ALD 2021) featuring the 8th International Atomic Layer Etching Workshop (ALE 2021) was adapted into a Virtual Meeting and took place on June 27-30, 2021. Five ALD Student Finalists were chosen from the submitted student abstracts and Marianne won with her contribution "Tuning Properties of Vapor Deposited ZIF-8 Thin Films With Preferred Orientation". Congratulations for this great achievment!

  Sandro Wieser received a DOC fellowship from the Austrian Academy of Sciences

The fellowship entitled “Understanding heat transport in metal-organic frameworks in real and reciprocal space” will finance his further PhD studies. Sandro will continue his work along the following lines. The high inner surface area of Metal-organic frameworks (MOFs) is utilized in a large range of applications including gas separation, gas storage or catalysis. Many of the involved processes generate or consume heat. Efficient heat dissipation is often essential to maintain stable and efficient working conditions. Therefore, it is important to investigate heat transport in MOFs. Due to the enormous number of different MOFs, it is crucial to not only provide thermal conductivity values for specific systems, but to fundamentally understand structure-to-property-relationships for heat transport. To achieve this, several complementary theoretical techniques will be applied to analyze thermal transport for different MOFs. Molecular dynamics simulations will show locally resolved transport bottlenecks in real space, while the phonon picture will provide understanding regarding the origin of different heat transport properties in reciprocal space. This will pave the way for a targeted tailoring of MOFs for specific applications relying on heat transport via structural modifications.

  Understanding the origin of serrated stacking motifs in planar 2D-COFs

In a recent paper of Winkler, Kamencek and Zojer the stacking of two-dimensional covalent organic frameworks (COFs) was studied by dispersion-corrected density-functional theory to elucidate the relative arrangement of neighboring COF-layers. Typically, the layers in 2D-COFs are found to be laterally displaced. The paper now shows that the common notion that the displacement is a consequence of electrostatic repulsions of polar building blocks can be misleading. For the representative case of COF-1 they found that electrostatic and van der Waals interactions would, actually, favor a cofacial arrangement of the layers and that Pauli repulsion is the crucial factor causing the serrated AA-stacking. A more in-depth analysis of the electrostatic contribution reveals that the “classical” Coulomb repulsion between the boroxine building blocks of COF-1 suggested by chemical intuition does exist, but is overcompensated by attractive effects due to charge-penetration in the phenylene units. The situation becomes more involved, when additionally allowing the interlayer distance to relax for each displacement, as then the different distance-dependences of the various types of interactions come into play. The overall behavior calculated for COF-1 is recovered for several additional COFs with differently sized π-systems and topologies, implying that the presented results are of more general relevance.

  Chemical recycling of natural rubber waste

The latest work of Viktor Schallert from the Slugovc group just appeared in Macromolecular Chemistry and Physics. The team disclosed the use of a surfactant derived from the degradation of natural rubber gloves via cross‐metathesis with methyl acrylate and subsequent saponification of the ester group for the stabilization of water in dicyclopentadiene high internal phase emulsions. The versatility of the resulting high internal phase emulsion is demonstrated by polymerizing the continuous dicyclopentadiene phase via ring‐opening metathesis polymerization yielding macroporous poly(dicyclopentadiene) foams with a porosity of 82%. The use of the ionic surfactant allows for the preparation of foams, which are resistant to absorb water. This property is hitherto not accessible with protocols involving the use of nonionic surfactants commonly employed in emulsion templating of polymers.

3rd PhD-Symposium

PM@W organized the 3rd PhD symposium which was held on April 15th, 2021. The symposium consisted of a series of short presentations (12+3 minutes) given by the PhD students and two invited talks by Christian Teichert and Stefan Wuttke. Further discussion between attendees and presenters were encouraged and were organized in private breakout sessions at the end of the symposium. The event was held virtually and was organized by F. Meixner, M. Andreev and S. Cesnik.

Two awards for Irene Dalfen

PM@Ws PhD student Irene Dalfen won one of the two Best Talk Awards and one of the two Design Awards offered during the 13th Doc Days held annually by the doctoral schools Chemistry of the University of Graz and Graz University of Technology. With her talk entitled “Porous Materials under high hydrostatic pressure” she came out top among 27 presentations. Well done Irene!

How to do electrochemistry with insulators?

PM@Ws associate researchers Christian Prehal (now at ETH Zürich) and Stefan Freunberger (now at IST Austria) together with colleagues from FELMI-ZFE, IST Austria, Elettra and PM@Ws Heinz Amenitsch, revealed that even weakly solvating electrolytes support so-called solution discharge of Li-oxygen batteries. Upon discharge, insulating and insoluble lithium peroxide forms. Previously strongly solvating electrolytes where thought required to allow for large discharge capacities via soluble lithium superoxide intermediates. Now the team revealed that even in poorly solvating acetonitrile electrolyte, the discharge passes entirely via soluble intermediates, allowing for the highest capacities. The essential tool for this finding was Christian’s sophisticated small angle X-ray scattering (SAXS) data analysis method. The work just appeared in the Proceedings of the National Academy of Sciences of the United States of America.

High‐Throughput Electron Diffraction Reveals a Hidden Novel Metal‐Organic Framework for Electrocatalysis

Many Metal‐organic frameworks (MOFs) are typically synthesized as multiphasic polycrystalline powders, which are challenging for studies by X‐ray diffraction. Therefore, developing new structural characterization techniques is highly desired in order to accelerate discoveries of new materials. Now a team of researchers from Sweden, China, Australia, Canada, Italy, Russia and Graz disclosed a high‐throughput approach for structural analysis of MOF nano‐ and sub‐microcrystals by three‐dimensional electron diffraction (3DED). With this method, a new zeolitic‐imidazolate framework denoted ZIF‐EC1, was discovered. ZIF‐EC1 has a dense 3D framework structure, which is built by linking mono‐ and bi‐nuclear Zn clusters and 2‐methylimidazolates. ZIF-EC1 was then used to prepare an N‐doped carbon material, which is a promising catalyst for the electrochemical oxygen reduction reaction.

  IUPAC's Global Women's Breakfast in Graz

The IUPAC’s Global Women’s Breakfast is an opportunity for all chemists to come together, network and address barriers and inequalities faced by women in science.
Beate Steller and PM@W’s PhD student Irene Dalfen are hosting a virtual GWB Event in Graz, taking place on Feb. 9th, 2021 9:00 a.m. and invite all chemists interested to further gender equality in science to join. To register for the online-event, send an email to Beate Steller. Participants from Graz can also sign up for a free breakfast bag (Croissant, butter & jam) sponsored by GÖCH.

  The current state of biocomposites made of MOFs and enzymes reviewed

A team of researchers from Australia, the USA and TU Graz disclosed a review article in Chemical Reviews entitled “Metal–Organic Framework-Based Enzyme Biocomposites”. The comprehensive overview canvasses enzyme protection via encapsulation, pore infiltration, and surface adsorption and summarizes strategies to form multicomponent composites. Integration of MOF materials and enzymes affords protection and allows the enzyme to maintain activity in challenging conditions (e.g., denaturing agents, elevated temperature, non-native pH, and organic solvents). Moreover, given that enzyme/MOF biocomposites straddle materials chemistry and enzymology, this review provides an assessment of the characterization methodologies used for MOF-immobilized enzymes and identifies some key parameters to facilitate development of the field.

  Applications of bioentities@MOFs in biomedicine

Metal-organic frameworks (MOFs) combined with biomacromolecules, viruses and cells have emerged as novel biocomposites for application to drug delivery, biosensing, biospecimen preservation, and cell and virus manipulation. The integration of biological entities into MOF matrices generates MOF biocomposites with functional characteristics that cannot be observed in the separate components, such as enhanced chemical and thermal stability, resistance to proteases, MOF-conferred selectivity, and controlled release. In a review researchers from Saudi-Arabia, Australia and TU Graz discuss these functional properties and applications of the biocomposites obtained by the encapsulation of (i) proteins, (ii) carbohydrates, (iii) nucleic acids, and (iv) viruses or cells in a MOF matrix. Finally, we review the post functionalization of MOF-based drug carriers with lipids as a potential route to enhance the dispersion, stability in biological fluids, and blood circulation time of MOF-based drug delivery systems.

  Heat Transport in Metal-Organic Frameworks

A team of researchers from Leoben, Bochum and Graz disclosed a study on heat transport in metal-organic frameworks. The presented results lay the foundation for developing detailed structure‐to‐property relationships for thermal transport in MOFs with the goal of devising strategies for the application‐specific optimization of heat conduction. Controlling the transport of thermal energy is key to most applications of MOFs. Analyzing the evolution of the effective local temperature, the interfaces between the metal nodes and the organic linkers are identified as the primary bottlenecks for heat conduction. Consequently, changing the bonding strength at that node–linker interface and the mass of the metal atoms can be exploited to tune the thermal conductivity. This insight is generated employing molecular dynamics simulations in conjunction with advanced, ab initio parameterized force fields. The focus of the present study is on MOF‐5 as a prototypical example of an isoreticular MOF. However, the key findings prevail for different node structures and node-linker bonding chemistries.

  Through-Space Charge Transport in MOFs

Charge transport in MOFs has shifted into the focus of scientific research. In this context, systems with efficient through-space charge transport pathways resulting from π-stacked conjugated linkers are of particular interest. In the current manuscript, Christian Winkler and Egbert Zojer use density functional theory-based simulations to provide a detailed understanding of such MOFs, which, in the present case, are derived from the prototypical Zn2(TTFTB) system (with TTFTB4− corresponding to tetrathiafulvalene tetrabenzoate). In particular, we show that factors such as the relative arrangement of neighboring linkers and the details of the structural conformations of the individual building blocks have a profound impact on bandwidths and charge transfer. Considering the helical stacking of individual tetrathiafulvalene (TTF) molecules around a screw axis as the dominant symmetry element in Zn2(TTFTB)-derived materials, the focus, here, is primarily on the impact of the relative rotation of neighboring molecules. The presented results provide guidelines for achieving structures with improved electronic couplings. Structural defects (especially missing linkers) provide major obstacles to charge transport suggesting that especially the sample quality is a decisive factor for ensuring efficient through-space charge transport in MOFs comprising stacked π-systems.

  Electrostatic Design of Polar MOF Thin Films

Researchers from KIT and TU Graz discuss a strategy for conveniently tuning the optical and electronic properties of MOFs through electrostatic design. More specifically, based on quantum-mechanical simulations, they suggest an approach for creating a gradient of the electrostatic potential within a MOF thin film, exploiting collective electrostatic effects. With a suitable orientation of polar apical linkers, the resulting non-centrosymmetric packing results in an energy staircase of the frontier electronic states reminiscent of the situation in a pin-photodiode. The simulations provide guidelines regarding the design of polar apical linker molecules that would allow the realization of MOF thin films with the (vast majority of the) molecular dipole moments pointing in the same direction.

  Hierarchical MOF Films with Controllable Meso/Macroporosity

Researchers from Australian National University, The University of Texas at Austin, Katholieke Universiteit Leuven and Graz University of Technology report the structuring of the metal‐organic framework material ZIF‐8 as films and membranes through the vapor‐phase conversion of ZnO fractal nanoparticle networks. The work published in Advanced Science demonstrates that extrinsic porosity of the resulting materials can be tuned from 4% to 66%, and the film thickness can be controlled from 80 nm to 0.23 mm, for areas >100 cm2. Freestanding and pure metal‐organic frameworks (MOF) membranes prepared this way are showcased as separators that minimize capacity fading in model Li‐S batteries.

  Sub-50-nm resultion in patterning of MOF-films

Metal–organic frameworks (MOFs) offer disruptive potential in micro- and optoelectronics because of the unique properties of these microporous materials. Nanoscale patterning is a fundamental step in the implementation of MOFs in miniaturized solid-state devices. Conventional MOF patterning methods suffer from low resolution and poorly defined pattern edges. In a publication in Nature Materials, a team of researchers from Belgium, Germany and Graz demonstrate the resist-free, direct X-ray and electron-beam lithography of MOFs. This process avoids etching damage and contamination and leaves the porosity and crystallinity of the patterned MOFs intact. The resulting high-quality patterns have excellent sub-50-nm resolution, and approach the mesopore regime. The compatibility of X-ray and electron-beam lithography with existing micro- and nanofabrication processes will facilitate the integration of MOFs in miniaturized devices.

  New CD-Laboratory in the scientific environment of PM@W

Porous Materials@Work is proud to announce the start of a new CD-lab headed by the lead-project’s Associate Researcher Dr. Daniel Rettenwander. High interfacial resistances reduce the performance of solid state batteries and solving this issue is a key for enabling the practical use of these devices. Above that, the aim of the new CD Laboratory for Solid-State Batteries is to make this particularly safe energy storage system fit for electric vehicles and other high-energy applications. Read the press release of Graz University of Technology for more information.

  On the thermal decomposition of zinc xanthate complexes

Metal xanthates are versatile single source precursors for the preparation of potentially porous metal sulfides. In this study, a team of researchers around Gregor Trimmel presents the synthesis of two novel zinc xanthate complexes. A thorough investigation of these compounds revealed distinct differences in their structural and thermal properties. Both compounds show a two-step thermal decomposition with an onset temperature of about 150 °C. Moreover, different mechanisms are revealed for the two phases of the decomposition based on high resolution mass spectrometry investigations. The thermal conversion process produces nanocrystalline zinc sulfide with different primary crystallite size of 4.4 nm or 11.4 nm depending on the nature of the zinc xanthate complex.

  Exciton Coupling and Conformational Changes Impacting the Excited State Properties of MOFs

In recent years, the photophysical properties of crystalline metal-organic frameworks (MOFs) have become increasingly relevant for their potential application in light-emitting devices, photovoltaics, nonlinear optics and sensing. The availability of high-quality experimental data for such systems makes them ideally suited for a validation of quantum mechanical simulations, aiming at an in-depth atomistic understanding of photophysical phenomena. Here a team of researchers headed by Anne-Marie Kelterer and Egbert Zojer presents a computational DFT study of the absorption and emission characteristics of a Zn-based surface-anchored metal-organic framework (Zn-SURMOF-2) containing anthracenedibenzoic acid (ADB) as linker. The unexpected (weak) red-shift of the absorption maxima upon incorporating ADB chromophores into SURMOF-2 can be explained by a combination of excitonic coupling effects with conformational changes of the chromophores already in their ground state. The large red-shift of the emission is attributed to a modification of the exciton coupling compared to conventional H-aggregates, which results from a relative slip of the centers of neighboring chromophores upon incorporation in the MOF.

  Nanoporous carbons for persistent and reversible solid iodine electrodeposition

Aqueous iodine based electrochemical energy storage is considered a potential candidate to improve sustainability and performance of current battery and supercapacitor technology. It harnesses the redox activity of iodide, iodine, and polyiodide species in the confined geometry of nanoporous carbon electrodes. However, current descriptions of the electrochemical reaction mechanism to interconvert these species are elusive.
Current and former researchers of ICTM, including the lead project's associate researcher Stefan Freunberger and their collaborators now show in a recent paper in Nature Communications, that electrochemical oxidation of iodide in nanoporous carbons forms persistent solid iodine deposits. Confinement slows down dissolution into triiodide and pentaiodide, responsible for otherwise significant self-discharge via shuttling. Based on the derived mechanism, strategies for improved iodine pore filling capacity and prevention of self-discharge, applicable to hybrid supercapacitors and batteries, were demonstrated.

  Fatty acids as replication agents for luminescent MOF patterns

Luminescent metal–organic frameworks (MOFs) are known to spontaneously self-assemble on human fingerprints. In a recent paper in Chemical Communications, an interdisciplinary team investigate the different chemical components of fingerprints and determine that MOF growth is predominantly induced by insoluble fatty acids. This finding shows that these simple biomolecules can be employed for the precise positioning of luminescent MOFs.

  MOFs for the tunable release of glycosaminoglycans

Glycosaminoglycans (GAGs) are biomacromolecules necessary for the regulation of different biological functions. In medicine, GAGs are important commercial therapeutics widely used for the treatment of thrombosis, inflammation, osteoarthritis and wound healing. However, protocols for the encapsulation of GAGs in MOFs carriers are not yet available. Here, a team of researchers from Graz, Australia, the United States and Spain successfully encapsulated GAG-based clinical drugs (e.g. heparin or hyaluronic acid) in three different pH-responsive metal-azolate frameworks. The resultant GAG@MOF biocomposites present significant differences in terms of crystallinity, particle size, and spatial distribution of the cargo, which influences the drug-release kinetics upon applying an acidic stimulus. For a selected system, heparin@MOF, the released therapeutic retained its antithrombotic activity while the MOF shell effectively protects the drug from heparin lyase. By using different MOF shells, the present approach enables the preparation of GAG-based biocomposites with tunable properties such as encapsulation efficiency, protection and release. The work is available in Chemical Science.

  Tomas Kamencek received a DOC fellowship from the Austrian Academy of Sciences

The fellowship entitled “Understanding and Engineering Phonon Properties for Controlling Mechanical and Thermal Characteristics in Metal-Organic Frameworks” will finance his further PhD studies. Thomas will continue his work along the following lines.
Metal-organic frameworks (MOFs) are an emerging class of materials often showing surprising properties like negative thermal expansion and negative Poisson’s ratios. The porous frameworks consisting of heavy metal centers connected by organic linkers often have internal surface areas of several thousand square meters per gram. Besides more traditional applications of MOFs (gas adsorption and separation, catalysis) exploiting the huge amounts of internal surface area, a more recent trend is to integrate MOFs into functional devices. However, design of that kind requires an in-depth understanding of the fundamental relations between the structure of a MOF and its mechanical, electrical, thermal, etc. characteristics. Therefore, the aim of the project will be to shed light on the mechanical and thermal properties, which can be conveniently described within the phonon picture of crystalline matter. Beyond that, a combined approach of theoretical and experimental techniques will be applied to study also anharmonic effects such as the thermal expansion coefficients as a function of structural components.

  Review on poly(dicyclopentadiene) based materials

As part of Materials Chemistry Frontiers’ themed collection "In honour of Professor Robert H. Grubbs for his 50-year contributions in metathesis" a review article on the chemistry and technology of poly(dicyclopentadiene) (pDCPD) and pDCPD based materials was disclosed as open access article.
During the last two decades, pDCPD prepared by Ring-opening Metathesis Polymerization emerged as an important competitor for epoxy- and polyester resins. An important fundament for this development, going far beyond established pDCPD industries, is certainly the introduction of functional-group tolerant olefin metathesis catalysts by Prof. Grubbs. Accordingly, the article starts with discussing the need for latent, functional group tolerant and air insensitive initiators and describes the progress in this field. In the next section the progress in polymer chemistry and physics of pDCPD is presented, covering in particular the fields of durability, copolymers, nanocomposites, fiber reinforced pDCPD and the use of dicyclopentadiene based formulations in self-healing applications. Furthermore, emerging processing techniques such as frontal polymerization and additive manufacturing are highlighted. Macro- as well as microporous pDCPD based materials are presented according to their type of preparation. A short chapter on polymers from functionalized dicyclopentadiene followed by a personal view on challenges and perspectives elaborating the frontiers of the current research in the field close the article.

  Magnetically responsive horseradish peroxidase@ZIF-8 for biocatalysis

In an interdisciplinary work carried out within Graz University of Technology, a biocatalytic system based on the zeolitic imidazolate framework-8 (ZIF-8) is introduced. The catalytic sytems is obtained in a one-pot process by directly combining the enzyme horseradish peroxidase (HRP), iron oxide magnetic nanoparticles, the ligand and metal ions, in water at room temperature. The resulting system provides a useful platform for the next generation of reusable/repositionable biocatalysts.

  Green Chemistry: A solvent and catalyst free protocol for aza-Michael reactions with azoles

The Slugovc group reported on completely solvent and catalyst free aza‐Michael addition reactions of azoles to liquid Michael acceptors in EurJOC. As long as the solubility of the azole in the reaction mixture is sufficient, the addition reaction proceeds towards completion in several hours at 80 °C and no solvents are needed during work-up. Thus, the disclosed protocol is on the one hand as resource saving as possible and on the other hand the importance of using high concentration conditions for (aza-)Michael addition reactions is illustrated. The obtained products will be used in the construction of porous coordination polymers.

  Evaluating Computational Shortcuts in Supercell-Based Phonon Calculations of Molecular Crystals

Phonons crucially impact a variety of properties of organic semiconductor materials. For instance, charge- and heat transport depend on low-frequency phonons, while for other properties, such as the free energy, especially high-frequency phonons count. For all these quantities one needs to know the entire phonon band structure, whose simulation becomes exceedingly expensive for more complex systems when using methods like dispersion-corrected density functional theory (DFT). Therefore, in the present contribution researchers from Leoben, Bochum and Graz evaluate the performance of more approximate methodologies, including density functional tight binding (DFTB) and a pool of force fields (FF) of varying complexity and sophistication. Beyond merely comparing phonon band structures, they also critically evaluate to what extent derived quantities, like temperature-dependent heat capacities, mean squared thermal displacements, and temperature-dependent free energies are impacted by shortcomings in the description of the phonon bands.

  Continuous‐Flow Synthesis of ZIF‐8 Biocomposites

Zeolitic imidazolate framework (ZIF) biocomposites show the capacity to protect and deliver biotherapeutics. To date, the progress in this research area is based on laboratory batch methods. Now, the first continuous flow synthetic method is presented for the encapsulation of a model protein (bovine serum albumin, BSA) and a clinical therapeutic (α1‐antitrypsin, AAT) in ZIF‐8. In a collaborative work, the in situ kinetics of nucleation, growth, and crystallization of BSA@ZIF‐8 were studied by small‐angle X‐ray scattering. By controlling the injection time of ethanol, the particle growth could be quenched by ethanol‐induced crystallization from amorphous particles to ZIF‐8 crystals. The particle size of the biocomposite was tuned in the 40–100 nm range by varying residence time prior to introduction of ethanol. As a proof‐of‐concept, this procedure was used for the encapsulation of AAT in ZIF‐8. Upon release of the biotherapeutic from the composite, the trypsin inhibitor function of AAT was preserved.

  ZIF-based biocomposites and their phase dependent encapsulation and release profile

A team of researchers from Graz, Adelaide, Bologna and Stockholm systematically varied the composition (i.e. relative amounts of ligand (2-methylimidazole), metal precursor (Zn(OAc)2·2H2O), and protein) and post synthetic treatments (i.e. washes with water or water/ethanol) to prepare a series of protein@ZIF biocomposites. These data were used to construct two ternary phase diagrams that showed the synthesis conditions employed gave rise to five different phases including, for the first time, biocomposites based on ZIF-CO3-1.
They examined the influence of the different phases on two properties relevant to drug delivery applications: encapsulation efficiency and release profile. The encapsulation efficiencies of bovine serum albumin and insulin were phase dependent and ranged from 75% to 100%. In addition, release profiles showed that 100% protein release varied between 40 and 300 minutes depending on the phase. This study provides a detailed compositional map for the targeted preparation of ZIF-based biocomposites of specific phases and a tool for the straightforward analysis of the crystalline phases of ZIF based materials (web application named “ZIF phase analysis” available). These data will facilitate the progress of ZIF bio-composites in the fields of biomedicine and biotechnology. Read the work in Chemical Science (Open Access).

  Thin Film Chemical Vapor Deposition of a Zinc Bipyridyl-Triazolate Framework

In a cooperation of the KU Leuven and Graz University of Technology it was demonstrated, that MAF‐252, a crystalline coordination polymer, is obtained from the solvent‐free reaction of ZnO with 3‐(2‐pyridyl)‐5‐(4‐pyridyl)‐1,2,4‐triazole. MAF‐252 can be synthesized in powder form and deposited as thin films, starting from ZnO powder and layers, respectively. Chemical vapor deposition (CVD) of MAF‐252 enables conformal and patterned thin films, even on high aspect ratio features.

  Macropouros poly(norbornadiene) is a fast oxygen scavenger

The Slugovc group in collaboration with Sergey Borisov communicated a hydrocarbon based polymeric material, which rapidly reacts with oxygen. To obtain such an unprecedented material, emulsion templating of norbornadiene and curing with Ring-opening Metathesis Polymerization are used. The resulting cross-linked monolithic foams in unoxidized state exhibit appealing mechanical properties combining high Young’s moduli with pronounced ductility and scavenge 300 mg oxygen/g foam reducing the final oxygen level of a closed volume of air to at least 5 ppmv oxygen in less than a day at room temperature. A combination of the porous morphology and the chemical nature of the polymer is held responsible for the material’s high reactivity with molecular oxygen.

  In situ resistometry for monitoring the adsorption process on nanoporous gold

Researchers around Elisabeth Hengge present a method to in situ monitor the adsorption and desorption of self-assembled monolayers on nanoporous gold by resistometry, using cysteine as example and introduce herewith a new technique capable of characterizing the formation of monolayers on porous substrates. During the adsorption an overall relative change in resistance of 18% is detected, which occurs in three distinct stages. First, the cysteine molecules are adsorbed on the outer surface. In the second stage, they are adsorbed on the internal surfaces and in the last stage the reordering accompanied by additional adsorption takes place. The successful binding of cysteine on the Au surface was confirmed by cyclic voltammetry, which showed a significant decrease of the double-layer capacitance.

  New feature for polymer foams

The Slugovc group described in a recent paper in Macromolecular Chemistry and Physics the effect of enhancing the crosslinking degree in polyHIPEs made from dicyclopentadiene by additionally using a crosslinking comonomer. Foams of 80% porosity with 10–40 wt% comonomer content in the continuous phase are prepared and show similar porosities and morphological characteristics as foams prepared with dicyclopentadiene alone. However, foams containing the crosslinking comonomer recover their initial shape and porosity upon drying of swollen samples. This newly introduced feature enables the use of this porous material in applications, which demand repeated swelling and drying.

  Elucidating phonon properties of MOFs

Phonon properties of MOFs are largely unexplored, despite their relevance for thermal and electrical conductivities, thermal expansion, and mechanical properties. In the latest research paper of Kamencek, Bedoya-Martínez and Zojer quantum-mechanical simulations are used to provide an in-depth analysis of the phonon properties of isoreticular MOFs. Phonon band structures, spatial confinements of modes, projected densities of states, and group velocity distributions are considered. Additionally, the character of selected modes is discussed based on real-space displacements, and the change of phonon properties of MOFs upon altering constituents (mass and spatial extent, bonding structure, etc.) are addressed. The presented results provide the foundations for an in-depth understanding of the vibrational properties of MOFs and, therefore, pave the way for a future rational design of systems with well-defined phonon properties.

Hydrogen-bonded organic framework (HOF) for enzyme encapsulation

A consortium of researchers from the University of Adelaide, the Australian National University and Graz University of Technology show in their latest JACS paper, that a porous hydrogen-bonded organic framework (HOF) constructed from water-soluble tetra-amidinium and tetracarboxylate building blocks can encapsulate and stabilize biomolecules to elevated temperature, proteolytic and denaturing agents, and extend the operable pH range for catalase activity. The HOF, which readily retains water within its framework structure, can also protect and retain the activity of enzymes such as alcohol oxidase, that are inactive when encapsulated within zeolitic imidazolate framework (ZIF) materials. Such HOF coatings could provide valid alternative materials to ZIFs: they are metal free, possess larger pore apertures, and are stable over a wider, more biologically relevant pH range.

Charge transport in organic semiconductors

A crucial factor determining charge transport in organic semiconductors is the electronic coupling between the molecular constituents, which is heavily influenced by the relative arrangement of the molecules. Using the example of quinacridone, Egbert Zojer at al. identify in their latest Chem. Mater. paper the combination of Pauli repulsion and orbital rehybridization as the driving force steering the system toward a structure in which the electronic coupling is minimal. This underlines that the design of high-performance materials cannot rely on the “natural” assembly of the π-conjugated backbones of organic semiconductors into their most stable configurations.

Anne-Marie Kelterer becomes Associate Researcher

Anne-Marie Kelterer works in the field of Computational Chemistry. As an associate researcher of the lead-project she will contribute with her quantum chemical and electronic structure knowledge to the MOF research.

  Vapour-phase deposition of oriented copper dicarboxylate MOF thin films

A team of researchers from KU Leuven, Vrije Universiteit Brussel and Porous Materials @ Work disclosed their latest results on growing MOF films from the gas-phase in Chemical Communications. Copper dicarboxylate metal-organic framework films are deposited via chemical vapour deposition. Uniform films with an out-of-plane orientation and accessible porosity are obtained from the reaction of copper and copperoxide with vaporised dicarboxylic acid linkers.

Genes@MOFs

Recent work in biomolecule‐metal–organic framework (MOF) composites has proven to be an effective strategy for the protection of proteins. However, for other biomacromolecules such as nucleic acids, the encapsulation into nano MOFs and the related characterizations are in their infancy. This publication reports the encapsulation of a complete gene‐set in zeolitic imidazolate framework‐8 (ZIF‐8) MOFs and cellular expression of the gene delivered by the nano MOF composites.

Degradation of ZIF-8 in phosphate buffered saline media

Understanding the stability of zeolitic imidazolate framework-8 (ZIF-8) under physiological conditions is critical in biotechnology and biomedicine for biosensing, biocatalysis, and drug delivery. The use of ZIF-8 has shown that this metal organic framework (MOF) and its derived bio-composites can degrade in presence of buffer solutions. Here a team of researchers from Australia, Germany and Graz presents an in-depth analysis of the structural and chemical changes of pure ZIF-8 particles exposed to phosphate buffered saline (PBS) media. Have a read of the article in CrystEngComm.

MOFBOTS: Metal–Organic‐Framework‐Based Biomedical Microrobots

Motile metal−organic frameworks (MOFs) are potential candidates to serve as small‐scale robotic platforms for applications in environmental remediation, targeted drug delivery, or nanosurgery. Here, magnetic helical microstructures coated with a kind of zinc‐based MOF, zeolitic imidazole framework‐8 (ZIF‐8), with biocompatibility characteristics and pH‐responsive features, are successfully fabricated. Moreover, it is shown that this highly integrated multifunctional device can swim along predesigned tracks under the control of weak rotational magnetic fields. The proposed systems can achieve single‐cell targeting in a cell culture media and a controlled delivery of cargo payloads inside a complex microfluidic channel network. See the article in Advanced Materials.

Networking Event Energy Materials

On June 27th, 2019 a networking meeting on energy materials research at TU Graz took place (8:30 to about 18:00 in the lecture room H “Ulrich Santner” Kopernikusgasse 24).

The event was jointly organized by VARTA Micro Innovation GmbH and the lead-project Porous Materials @ Work and aimed at connecting the expertise of the many groups active in the field. Additionally, representatives of industries were present. The meeting consisted of talks (12+3 min) introducing the research fields, expertise and special equipment of the research groups, a poster session and ample time for networking.

MOF‐on‐MOF: Oriented Growth of Multiple Layered Thin Films of Metal–Organic Frameworks

Fully oriented and functional MOF‐on‐MOF films were achieved via epitaxial growth in solution. In a collaborative communication, groups from Japan, Australia and Graz University of Technology exploited the alignment of MOF multi‐layer films on an oriented Cu(OH)2 film. Ag nanoparticles accommodated in aligned pores with anisotropic shape in the selective layer of MOF‐on‐MOF film showed unique anisotropic plasmon resonances.

About describing charge transport in organic semiconducting crystalline materials

The Zojer group tested different computational approaches for describing charge‐transport parameters in organic semiconductor crystals using the α‐polymorph of quinacridone as a prototypical example. A rather complex tight‐binding model is fitted to the electronic band structure. Using this model, it is possible to obtain intermolecular electronic couplings and effective masses and to decompose electronic bands into individual contributions. Yet, the gained know-how, published in Advanced Theory and Simulations, will enable to describe charge‐transport in microporous materials such as MOFs and COFs.

Carbohydrates@MOFs

A team of Australian and Austrian researchers studied the encapsulation of carbohydrates in metal organic frameworks (MOFs). Carbohydrates, as pure molecules or as a component of proteins and cells, perform essential biological functions. Thus, an understanding of the role of carbohydrates in the formation of MOF-based bio-composites will facilitate their application to biotechnology and medicine. In particular the role of carbohydrate molecular weight and chemical functionalization in the formation of carbohydrate@MOF composites was uncovered in the recent publication in Materials Horizons. The carboxylation of carbohydrates leads to an enhanced concentration of metal cation at the surface of the biomolecule: this triggers the rapid self-assembly of zeolitic-imidazolate framework 8 (ZIF-8) and related polymorphs.

The 1st PhD Symposium of Porous Materials@Work...

...took place on Feb. 28th, 2019. Organized by Efthymia Vakalopoulou, Tobias Burger and Christian Winkler 12 PhD students presented their progress. The event closed with an inspiring guest lecture of Prof. Shuhei Furukawa from Kyoto University.

Porous polymers - best mechanical properties in class

Researchers of the National Institute of Chemistry, Ljubljana and ICTM underlined in a recent publication in Polymer the unique mechanical properties of emulsion templated macroporous polymer foams consisting of poly(dicyclopentadiene). The recent work deals with the influence of surfactant loading on strengths and toughness of this kind of porous matter which can be considered as the strongest and toughest macroporous polymer foams available up to now.

  Enhanced Activity of Enzymes Encapsulated in Hydrophilic MOFs - new paper in JACS

Encapsulation of biomacromolecules in metal–organic frameworks (MOFs) can preserve biological functionality in harsh environments. Despite the success of this approach, termed biomimietic mineralization, limited consideration has been given to the chemistry of the MOF coating. In a collaborative contribution of researchers from the University of Adelaide, the Fudan University, the Elettra synchrotron and TU Graz studied the differences between enzymes encapsulated within different Zeolitic Imidazolate Frameworks. Bio-composites prepared with hydrophilic MAF-7 or ZIF-90 retain enzymatic activity under harsh environments (i.e. high temperatures, proteolytic agents, and organic solvents). Hydrophobic ZIF-8 affords inactive catalase and negligible protection to urease.

  Publication on a tool aimed at accelerating the materials discovery process

In a joint effort with Japanese and Australian scientists we have developed a high-throughput computational screening algorithm to identify MOFs that are likely to undergo macroscale aligned heteroepitaxial growth on a substrate. The ability to align porous metal–organic frameworks (MOFs) on substrate surfaces on a macroscopic scale is a vital step toward integrating MOFs into functional devices. But macroscale surface alignment of MOF crystals has only been demonstrated in a few cases. Screening of thousands of MOF structures by this process can be achieved in a few days on a desktop workstation. The algorithm filters MOFs based on surface chemical compatibility, lattice matching with the substrate, and interfacial bonding. Our method uses a simple new computationally efficient measure of the interfacial energy that considers both bond and defect formation at the interface. The according paper has been published in ACS Appl. Mater. Interfaces.

  We welcome Dr. Amrit Paudel as new Associate Researcher

Dr. Paudel is Assistant Professor at the Institute of Process and Particle Engineering and scientific area leader at the Research Center Pharmaceutical Engineering GmbH where he is responsible for the development of novel products and innovative drug delivery approaches. His research focuses on poorly soluble, inhalative and oral drug delivery systems, individualized and personalized medicine and patient-centric formulations.

Job opportunities in the Falcaro Group

Prof. Paolo Falcaro is currently looking for three PhD students to address exciting challenges in the field of nano-porous functional materials. Candidates are encouraged to contact Prof. Falcaro for additional information.

Porous Materials@Work at the AMD 2018

On Sept. 21st 2018, the Advanced Materials Day which is the exhibition of research achievements of the FoE Advanced Materials Science took place. Three associate researchers (Bedoya, Hofmann and Ricco) gave lectures and six posters of associate researcher and PhD students (2x Vakalopoulou, Hengge, Kräuter, Kodolitsch) of Porous Materials@Work were presented.

 Sept. 5-6, 2018 -  1st scientific meeting of Porous Materials@Work

42 researchers joined the event at Der Klugbauer. Such a team disclosed scientific skills and capabilities during 17 lectures. The aim and the progress of sub-projects were introduced during 10 short presentations given by PhD students. Thanks to the presence of the F&T house, an overview of available funding-schemes was given; particular emphasis was provided to funding-opportunities for pre- and postdocs.

  Paper on converting minerals to MOFs

This study shows that insoluble inorganic precursors and minerals can be used for the synthesis of porous crystals (Metal-Organic Frameworks - MOFs , specific MOF studied: HKUST-1). The proposed chemical process requires only water and ethanol as solvents; in presence of the second building-block of the porous crystal, the reaction spontaneously occurs at room temperature. Under these conditions, the original mineral rapidly decomposes and, simultaneously, a porous crystals forms.  In other words, TU Graz, Adelaide University and CSIRO have found new “green” and fast procedure for the preparation of highly porous materials. The procedure is promising for industrial applications.

Raffaele Ricco about the Marie Curie project "MNEMONIC"

The aim of the interdisciplinary Marie-Curie project MNEMONIC (MagNetic Enzyme Metal OrgaNIc framework Composites) is to develop novel materials consisting of metal-organic frameworks (MOFs), magnetic nanoparticles (MNPs), and enzymes. The porous MOF coating protects proteins from inhospitable conditions, and provides a selective molecular gate for the exchange of substrates and products. External magnetic forces acts on the MNPs to allow for precise positioning in fluidic systems.
These composites will be synthesized using the recently discovered biomimetic mineralization process, in which metal ions and organic ligands can quickly nucleate on various biological substrates (proteins, DNA, cells), in aqueous solution at room temperature.

The long-term impact of this project includes technological benefits for industrial biotechnology, owing to the high resistance of MOF-coated enzymes towards organic solvents, high temperatures, and inhibitors, along with the presence of MNPs permitting easy localization and recovery of the material, convenient for highly automated processes.
This project is connected with the research proposed in the sub-task P11 of the Lead Project Porous Materials@Work.

Congratulations to Stefan Freunberger

Stefan Freunberger has won the “2018 Tajima Prize” from the International Society of Electrochemistry for his work on oxygen electrochemistry, in particular for obtaining a comprehensive understanding of oxygen reactions taking place in such battery electrodes using a range of in-situ spectroelectrochemical methods. Stefan Freunberger is an Associate Researcher of Porous Materials @ Work and contributes with his expertise on porosity in energy storage devices.

 Feature on Porous Materials @ Work

The current research journal of Graz University of Technology just appeared. Read the feature article entitled "Interior Architecture at the Nanoscale" written by Doris Griesser on the lead-project Porous Materials @ Work which will start on July 1st, 2018.
Researchers from ICTM will take part in three sub-projects dealing with conductive MOFs and COFs, microporous sensing materials towards optical sensing of methane and the synthesis and application of nanoporous zinc sulfide.
(c) Baustädter - TU Graz

Congratulations to Oliver T. Hofmann

Oliver T. Hofmann received the START grant from the FWF. The Porous Materials@Work consortium cordially congratulates for this great achievement. Oliver T. Hofmann is an associate researcher of the lead-project and will contribute with his machine learning know-how in two sub-projects. We are looking forward working with him!
(c) Lunghammer - TU Graz

 Congratulations to Karin Zojer!

Karin Zojer will head the newly founded CD-laboratory for Mass Transport through Paper with the corporate partner Mondi Group on her side. Porosity is at centre stage of this CD lab. Karin Zojer states: ‘We want to understand the special pore structure of paper and be able to explain its influence on the transport of diverse types of particles through it. Only with this knowledge can the porosity of paper be swiftly and optimally adapted to the desired packaging application.’ Karin Zojer is associate researcher of the lead-project and with the foundation of the CD-lab, Porous Materials@Work will experience strong synergies concerning the modelling of porosity.
Past Events
image/svg+xml
Past Porous Matter Lectures
image/svg+xml